Free Access

Fig. 11

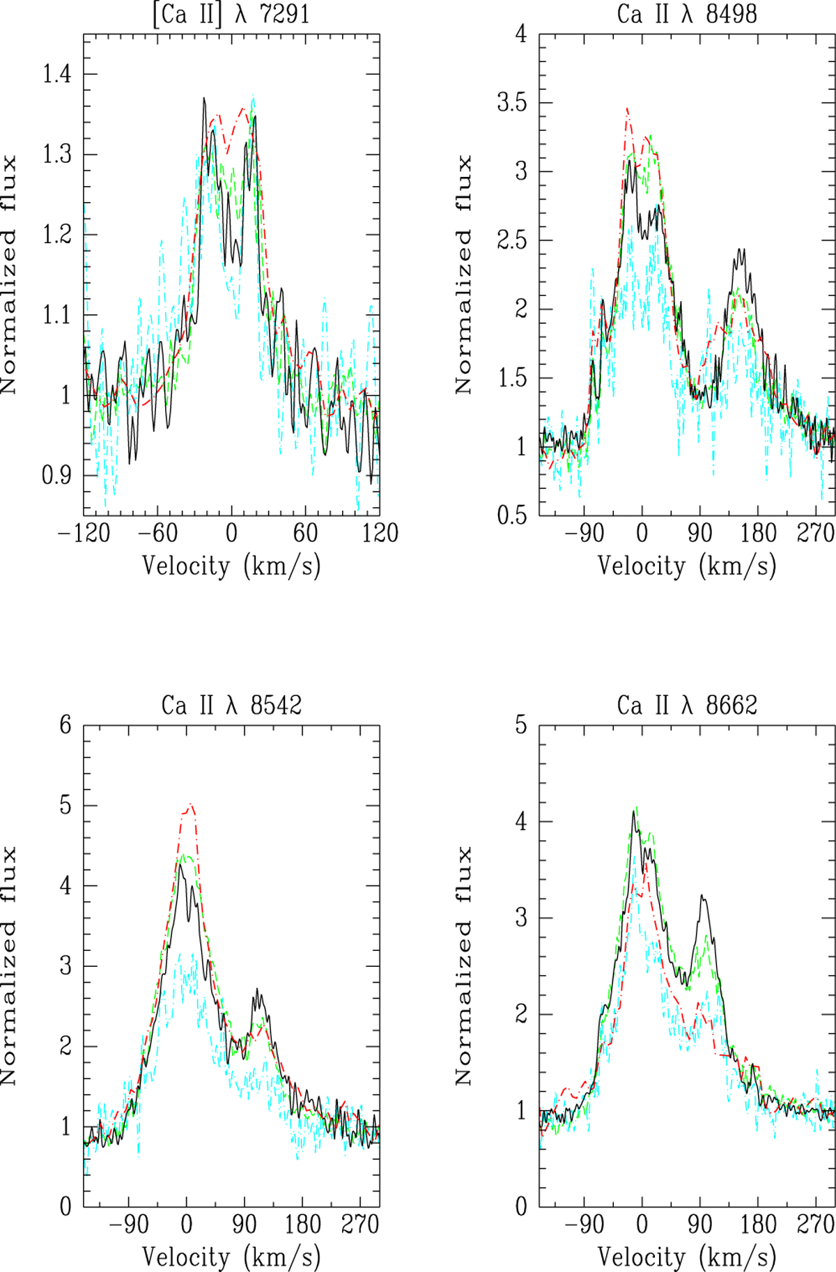
image

Comparison of the strength and shape of the [Ca II] λ 7291 and the Ca II λλ 8498, 8542, 8662 emission lines seen in the du Pont data and in FEROS spectra from 2014 and 2015. The Ca II triplet lines are blended with the Paschen lines Pa16, Pa15 and Pa13, respectively.

Current usage metrics show cumulative count of Article Views (full-text article views including HTML views, PDF and ePub downloads, according to the available data) and Abstracts Views on Vision4Press platform.

Data correspond to usage on the plateform after 2015. The current usage metrics is available 48-96 hours after online publication and is updated daily on week days.

Initial download of the metrics may take a while.