Free Access

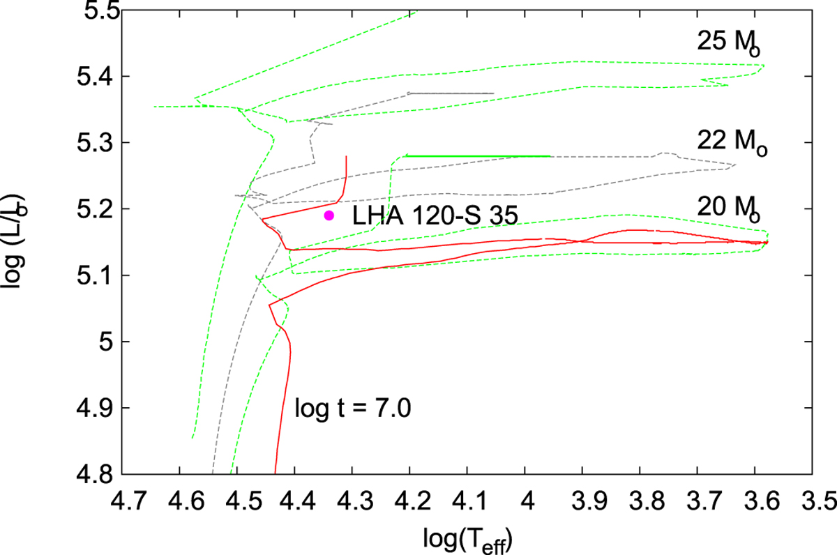
Fig. 23

image

Hertzsprung–Russell diagram showing the position of LHA 120-S 35. The evolutionary tracks for a rotating massive star with 20 M and 25 M taken from Ekström et al. (2012) are plotted in green, from which we obtained by interpolation the evolutionary track for a star with 22 M (in grey). These tracks correspond to solar metallicity Z = 0.014. An isochrone of log t = 7.0 is shown in red.

Current usage metrics show cumulative count of Article Views (full-text article views including HTML views, PDF and ePub downloads, according to the available data) and Abstracts Views on Vision4Press platform.

Data correspond to usage on the plateform after 2015. The current usage metrics is available 48-96 hours after online publication and is updated daily on week days.

Initial download of the metrics may take a while.