Free Access

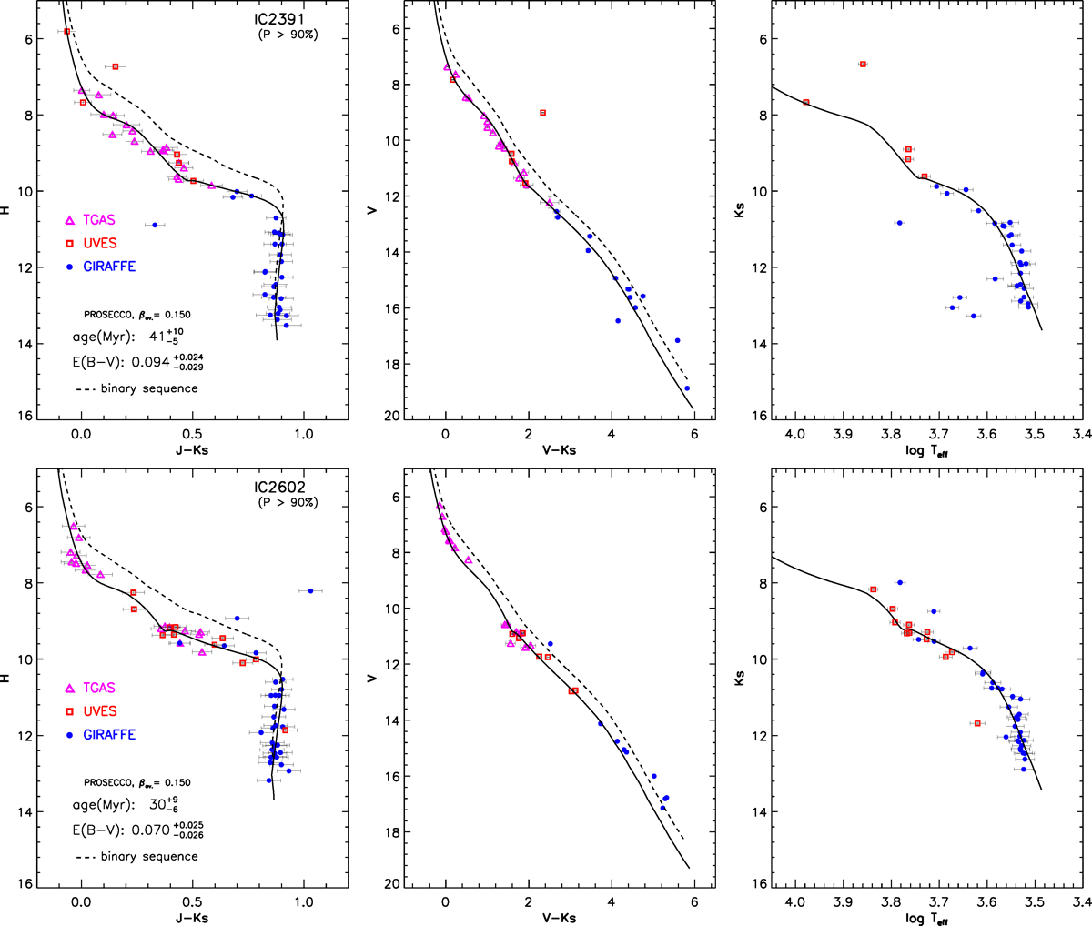
Fig. 7

image

Comparison between isochrones and observational data in the (JKs, H), (VKs, V), and (logTeff, Ks) diagrams for IC 2391 and IC 2602. Members from GES are indicated as blue full circles (GIRAFFE) and red squares (UVES), while TGAS members are plotted as magenta open triangles. Photometric data are taken from the 2MASS catalogue, AAVSO Photometric All Sky Survey (APASS) DR9 (Henden et al. 2016) and ASCC-2.5, 3rd version compilation (Kharchenko & Roeser 2009). GES iDR4 effective temperatures are adopted for the Ks vs. Teff diagrams. Temperatures are instead not available for the TGAS members, which are not shown in this diagram. The estimated reddening and age values are indicated in the left-hand panels – see text for more details. For both clusters, the unresolved binary sequence (with a constant mass qbin = 0.8) is shown as a dashed line (see text).

Current usage metrics show cumulative count of Article Views (full-text article views including HTML views, PDF and ePub downloads, according to the available data) and Abstracts Views on Vision4Press platform.

Data correspond to usage on the plateform after 2015. The current usage metrics is available 48-96 hours after online publication and is updated daily on week days.

Initial download of the metrics may take a while.