Free Access

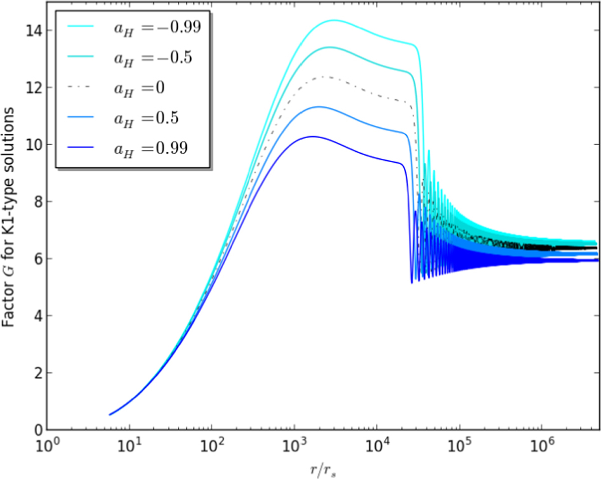
Fig. 17

image

Cylindrical jet radius normalized to its value at the Alfvén surface, G, for K1-type solutions, as a function of the distance along the polar axis, for five different values of the black hole spin aH. The functionG is equal to 1 at the Alfvén distance r = 10rs.

Current usage metrics show cumulative count of Article Views (full-text article views including HTML views, PDF and ePub downloads, according to the available data) and Abstracts Views on Vision4Press platform.

Data correspond to usage on the plateform after 2015. The current usage metrics is available 48-96 hours after online publication and is updated daily on week days.

Initial download of the metrics may take a while.