Free Access

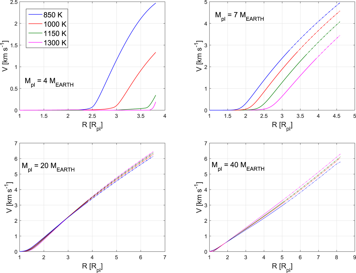
Fig. 3

image

Gas velocity profiles for the planets with masses of 4 (top-left), 7 (top-right), 20 (bottom-left), and 40 (bottom-right) M. The velocity profiles for planets with 10 and 15 M are very similar to those of the 20 M planet. The colours correspond to different values of the equilibrium temperature (blue: 850 K; red: 1000 K; yellow: 1150 K; magenta: 1300 K). The line style indicates whether a certain velocity is below (solid) or above (dash-dotted) the local sound speed.

Current usage metrics show cumulative count of Article Views (full-text article views including HTML views, PDF and ePub downloads, according to the available data) and Abstracts Views on Vision4Press platform.

Data correspond to usage on the plateform after 2015. The current usage metrics is available 48-96 hours after online publication and is updated daily on week days.

Initial download of the metrics may take a while.