Free Access

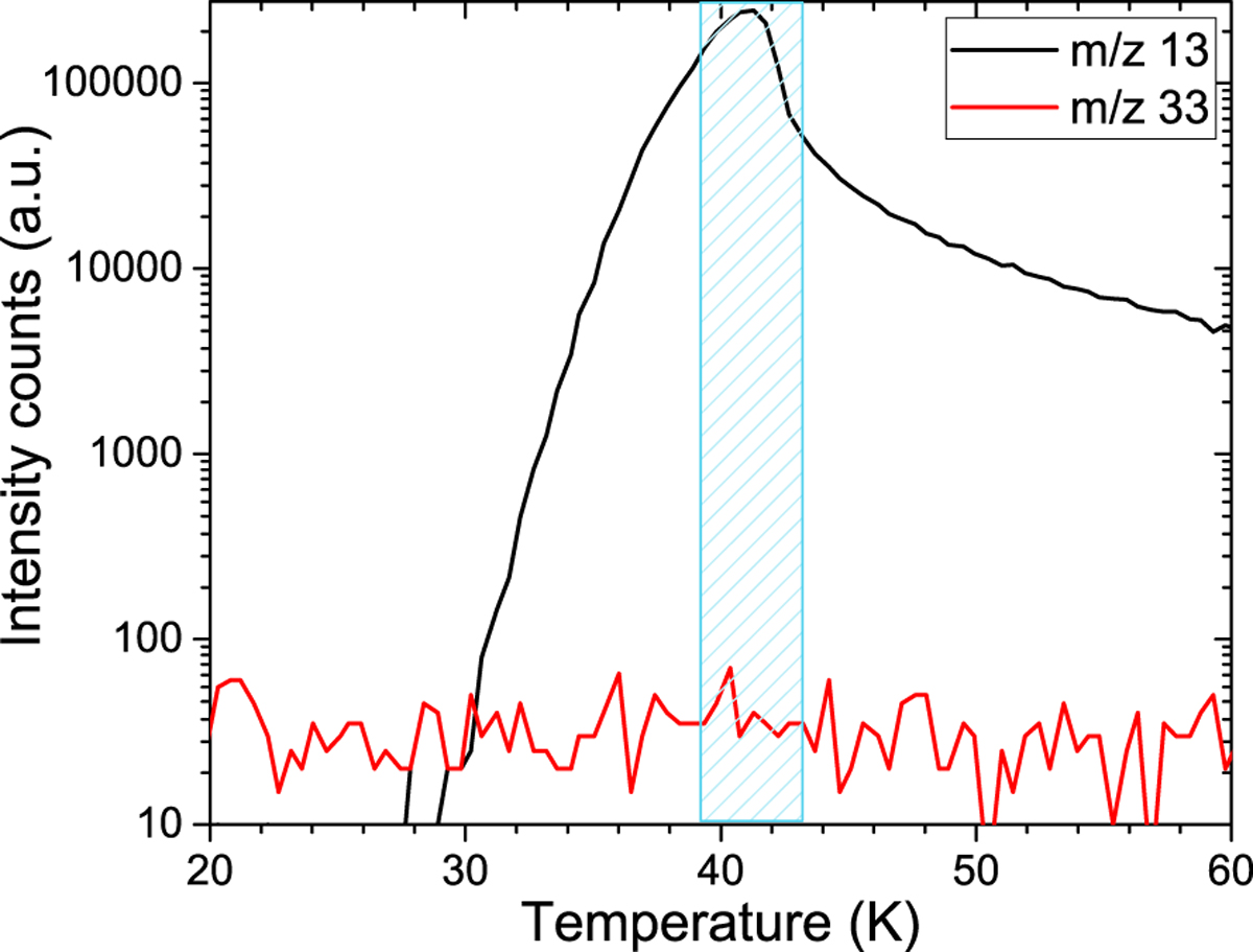
Fig. 4

image

Close-up of the CH4 desorption peak (shaded blue) for the 1:8 13CH3OH:CH4 mixed ice. mz 13 (black) traces methane, while mz 33 (red) is associated with 13CH3OH. We note thelogarithmic scale.

Current usage metrics show cumulative count of Article Views (full-text article views including HTML views, PDF and ePub downloads, according to the available data) and Abstracts Views on Vision4Press platform.

Data correspond to usage on the plateform after 2015. The current usage metrics is available 48-96 hours after online publication and is updated daily on week days.

Initial download of the metrics may take a while.