Free Access

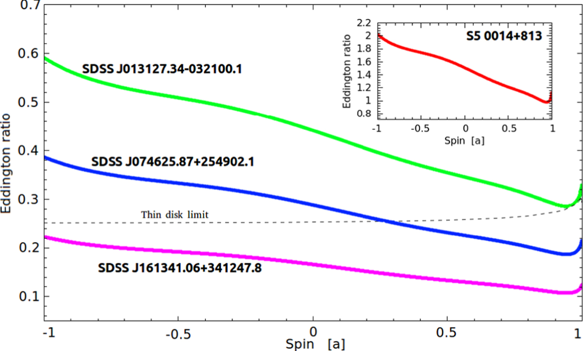
Fig. 10

image

KERRBB Eddington ratio of the sources as a function of the black hole spin (θ = 0°). The dotted line represents the thin disk Eddington ratio limit following LN89. According to this limit, the results could be trustworthy for only two sources because of the thin nature of the disk.

Current usage metrics show cumulative count of Article Views (full-text article views including HTML views, PDF and ePub downloads, according to the available data) and Abstracts Views on Vision4Press platform.

Data correspond to usage on the plateform after 2015. The current usage metrics is available 48-96 hours after online publication and is updated daily on week days.

Initial download of the metrics may take a while.