Free Access

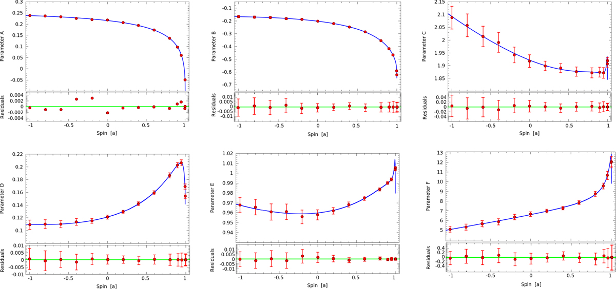
Fig. B.3

image

Parameters A, B, C, D, E and F of Eq. (8) as a function of the black hole spin a. The fitting function (blue line) has the general form of Eq. (9). We note how the residuals are always on the order of 1% (or less), except for F (on the order of ~10%). These relatively large residuals for F could be reduced using more than six parameters for the fit, but we found it unnecessary for the aim of this work. Red bars are associated with the uncertainties on the parameter values from the fit of the bolometric luminosity at different viewing angles (Fig. B.2.)

Current usage metrics show cumulative count of Article Views (full-text article views including HTML views, PDF and ePub downloads, according to the available data) and Abstracts Views on Vision4Press platform.

Data correspond to usage on the plateform after 2015. The current usage metrics is available 48-96 hours after online publication and is updated daily on week days.

Initial download of the metrics may take a while.