Free Access

Fig. 3

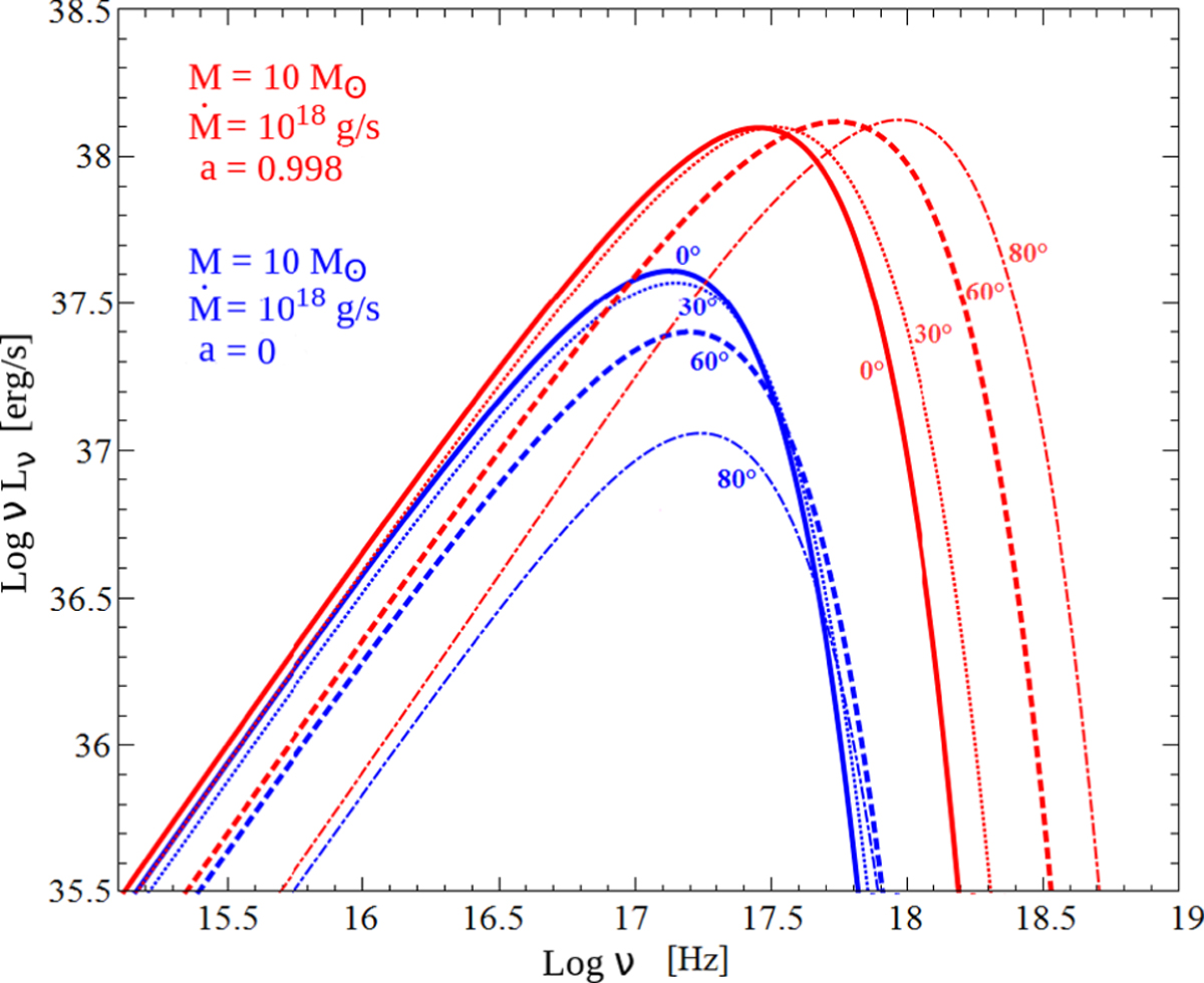
image

KERRBB model behavior at different angles and spins. All models have the same M and . When a = 0 (blue lines), the disk luminosity decreases as the viewing angle increases in a way similar to cos θ. When the spin is maximal (a = 0.9982, red lines), the light-bending effect, along with Doppler beaming and gravitational redshift are so strong that the luminosity is almost the same, even at large angles. In this case, the trajectories of the energetic photons, produced close to the black hole horizon, are bent in all directions making the radiation intensity almost the same at all viewing angles. For a fixed viewing angle, the low-frequency part of the spectrum is almost the same for both a = 0 and a = 0.9982; this emission is related to the outer region of the disk where relativistic effects are not as important.

Current usage metrics show cumulative count of Article Views (full-text article views including HTML views, PDF and ePub downloads, according to the available data) and Abstracts Views on Vision4Press platform.

Data correspond to usage on the plateform after 2015. The current usage metrics is available 48-96 hours after online publication and is updated daily on week days.

Initial download of the metrics may take a while.