Free Access

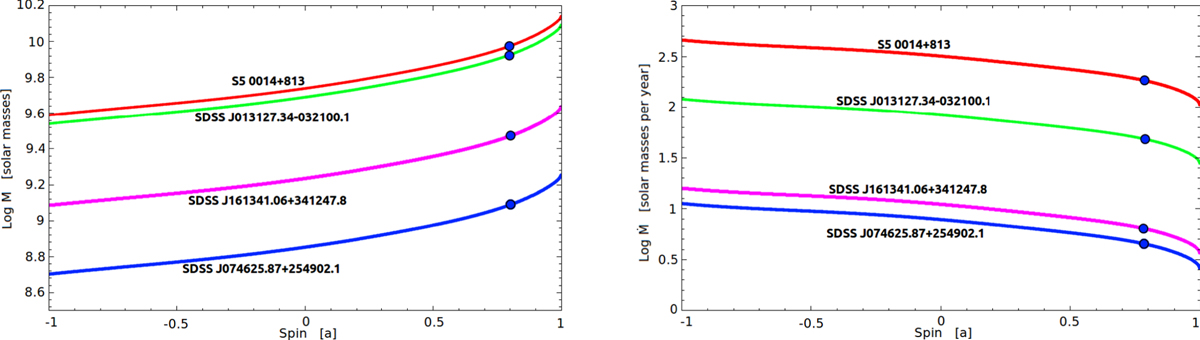
Fig. 9

image

KERRBB fit solutions of the four blazars. The SS solutions for the same spectrum peak position (blue dots) correspond to the KERRBB solutions with a ~ 0.8 (see Table 4 for the peak position and other parameters). KERRBB black hole mass (accretion rate) is larger (smaller) than the SS value for a ~ > 0.8.

Current usage metrics show cumulative count of Article Views (full-text article views including HTML views, PDF and ePub downloads, according to the available data) and Abstracts Views on Vision4Press platform.

Data correspond to usage on the plateform after 2015. The current usage metrics is available 48-96 hours after online publication and is updated daily on week days.

Initial download of the metrics may take a while.