Free Access

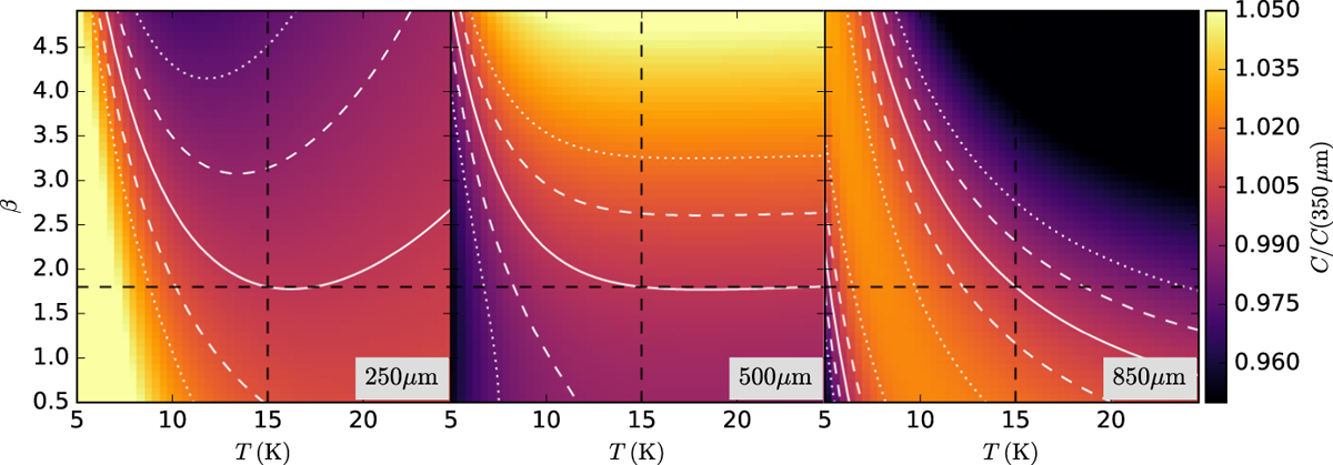
Fig. A.1

image

Colour correction factors at the 250 μm, 500 μm, and 850 μm bands relative to the same at 350 μm. The ratios are normalised to one at T = 15 K and β = 1.5. The contours denote the ratio one (solid lines) and deviations from one by ± 1% (dashed lines) and ±2% (dotted lines).

Current usage metrics show cumulative count of Article Views (full-text article views including HTML views, PDF and ePub downloads, according to the available data) and Abstracts Views on Vision4Press platform.

Data correspond to usage on the plateform after 2015. The current usage metrics is available 48-96 hours after online publication and is updated daily on week days.

Initial download of the metrics may take a while.