Free Access

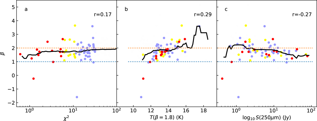
Fig. E.1

image

Dependence of β estimates on χ2 values (frame a), SPIRE-derived colour temperatures for β = 1.8 (frame b), and 250 μm flux densities (frame c). The colours are the same as in Fig. 4. The linear correlation coefficients r and median-β curves are shown for the full set of plotted points.

Current usage metrics show cumulative count of Article Views (full-text article views including HTML views, PDF and ePub downloads, according to the available data) and Abstracts Views on Vision4Press platform.

Data correspond to usage on the plateform after 2015. The current usage metrics is available 48-96 hours after online publication and is updated daily on week days.

Initial download of the metrics may take a while.