Free Access

Fig. 9

image

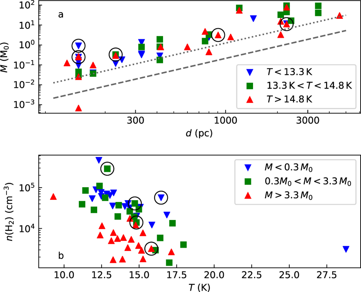
Clump mass vs. field distance (frame a) and average volume density vs. temperature (frame b). The plots correspond to the LM data version and the P(χ2 ) = 25% clump sample. The fluxes and temperatures are from the 250–850 μm fits. The data are further divided into three samples based on temperature (frame a) or mass (frame b). The clumps with YSO Class I or II candidates are marked with circles. Frame a shows the thresholds corresponding to a 17 mJy per 850 μm beam (dashed line) and to a 850 μm flux density of 0.1 Jy f(dotted line; see text).

Current usage metrics show cumulative count of Article Views (full-text article views including HTML views, PDF and ePub downloads, according to the available data) and Abstracts Views on Vision4Press platform.

Data correspond to usage on the plateform after 2015. The current usage metrics is available 48-96 hours after online publication and is updated daily on week days.

Initial download of the metrics may take a while.