Free Access

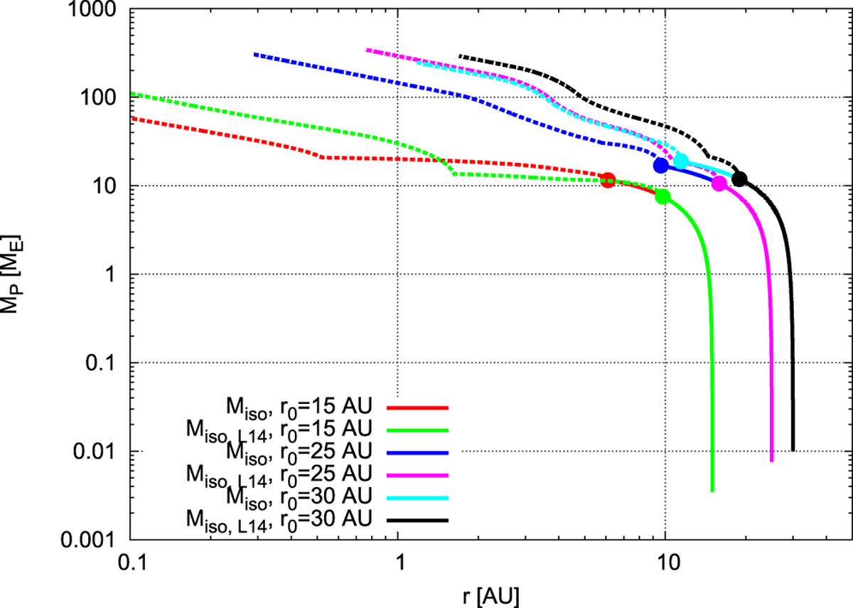
Fig. 14

image

Growth tracks of planets starting at several different initial positions in a disc that is already 1.5 Myr old for pebble-isolation masses given by Lambrechts et al. (2014) in Eq. (1) and for the new-found pebble isolation mass Miso in Eq. (26). The initial growth phase is the same for both isolation masses, so the growth tracks diverge only when the pebble-isolation mass (Eq. (1)) is reached, marked by the dots. The solid lines indicate pebble accretion, while the dashed lines mark gas accretion.

Current usage metrics show cumulative count of Article Views (full-text article views including HTML views, PDF and ePub downloads, according to the available data) and Abstracts Views on Vision4Press platform.

Data correspond to usage on the plateform after 2015. The current usage metrics is available 48-96 hours after online publication and is updated daily on week days.

Initial download of the metrics may take a while.