Free Access

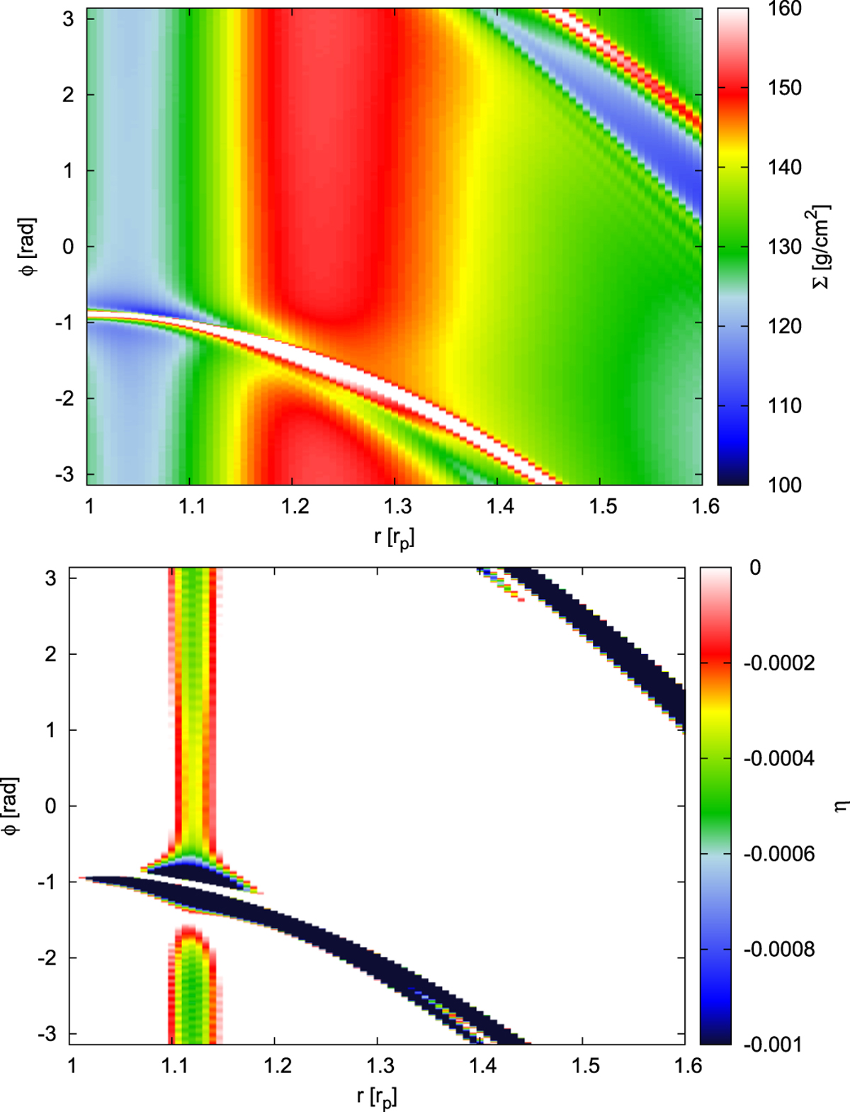
Fig. A.1

image

Surface density (top) and η value (bottom) for discs with α = 0.001, Hr = 0.05 with an embedded 25 ME planet. The planet is located at r = 1 and ϕ = −1. A planet with this mass opens a partial gap in the disc density and has reached the pebble-isolation mass (Fig. 1). The η value reaches negative values outside of the planetary orbit over the whole azimuthal range, indicating that taking the azimuthally average η value to compute the pebble-isolation mass is correct.

Current usage metrics show cumulative count of Article Views (full-text article views including HTML views, PDF and ePub downloads, according to the available data) and Abstracts Views on Vision4Press platform.

Data correspond to usage on the plateform after 2015. The current usage metrics is available 48-96 hours after online publication and is updated daily on week days.

Initial download of the metrics may take a while.