Free Access

Fig. 6

image

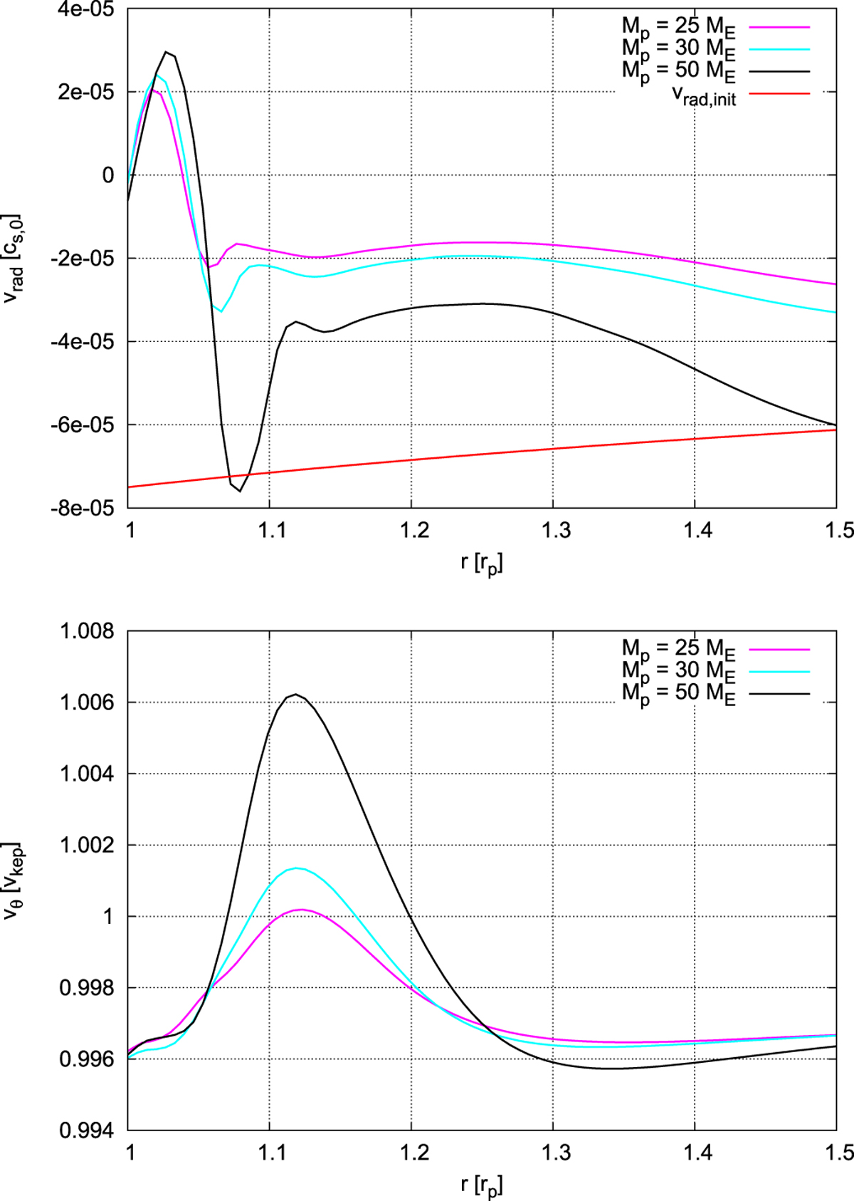
Midplane gas velocities as a function of orbital distance in discs with Hr = 0.05, α = 0.001, and Σ ∝ r−0.5. Top plot: radial velocity in units of the sound speed at r = 1.0. A negative velocity indicates an inward flow of the gas. The red line indicates the radial velocity of the unperturbed disc. Bottom plot: azimuthal velocity in units of the Keplerian velocity. If vθ is larger than 1, the gas orbits super-Keplerian, indicating the pressure bump in the disc.

Current usage metrics show cumulative count of Article Views (full-text article views including HTML views, PDF and ePub downloads, according to the available data) and Abstracts Views on Vision4Press platform.

Data correspond to usage on the plateform after 2015. The current usage metrics is available 48-96 hours after online publication and is updated daily on week days.

Initial download of the metrics may take a while.