Free Access

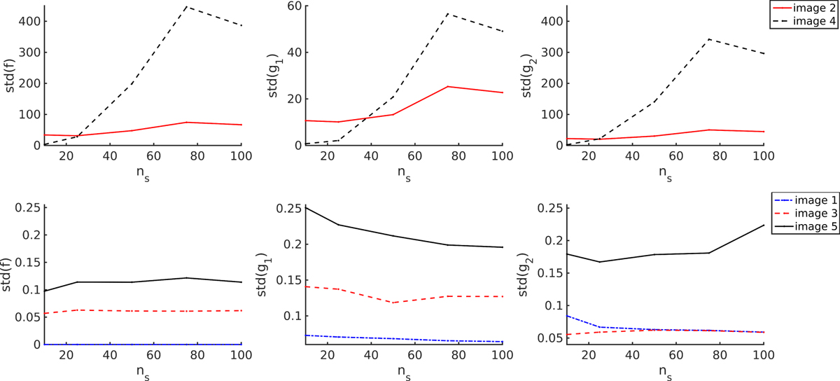
Fig. 8

image

Dependency of the size of the confidence bound, that is, the standard deviation of the fi, gi,1, and gi,2, i = 1, ..., 5, for all multiple images of system 1 of Table 1 determined by the Grale model detailed in Sect. 4.2.2, on the number of individual models, ns, generated by the genetic algorithm and averaged over to obtain the final Grale model.

Current usage metrics show cumulative count of Article Views (full-text article views including HTML views, PDF and ePub downloads, according to the available data) and Abstracts Views on Vision4Press platform.

Data correspond to usage on the plateform after 2015. The current usage metrics is available 48-96 hours after online publication and is updated daily on week days.

Initial download of the metrics may take a while.