Free Access

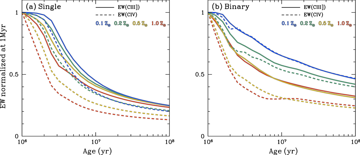
Fig. 6

image

EWs of [CIII] (solid) and CIV (dashed) as a function of age for single- (left) and binary- (right) stellar population under the assumption of continuous star-formation. The age is defined since the beginning of the current star-formation. They are normalized at 1 Myr. The decrease of EW of [CIII] (CIV) is estimated by counting the number of photons with an energy of >24.4 eV (47.9 eV) divided by the UV (stellar+nebular) continuum around the [CIII] (CIV) emission at a given age. The blue, green, yellow, and red curves denote the age dependencies for a metallicity of Z = 0.1, 0.2, 0.5, and 1.0 Z, respectively.

Current usage metrics show cumulative count of Article Views (full-text article views including HTML views, PDF and ePub downloads, according to the available data) and Abstracts Views on Vision4Press platform.

Data correspond to usage on the plateform after 2015. The current usage metrics is available 48-96 hours after online publication and is updated daily on week days.

Initial download of the metrics may take a while.