Free Access

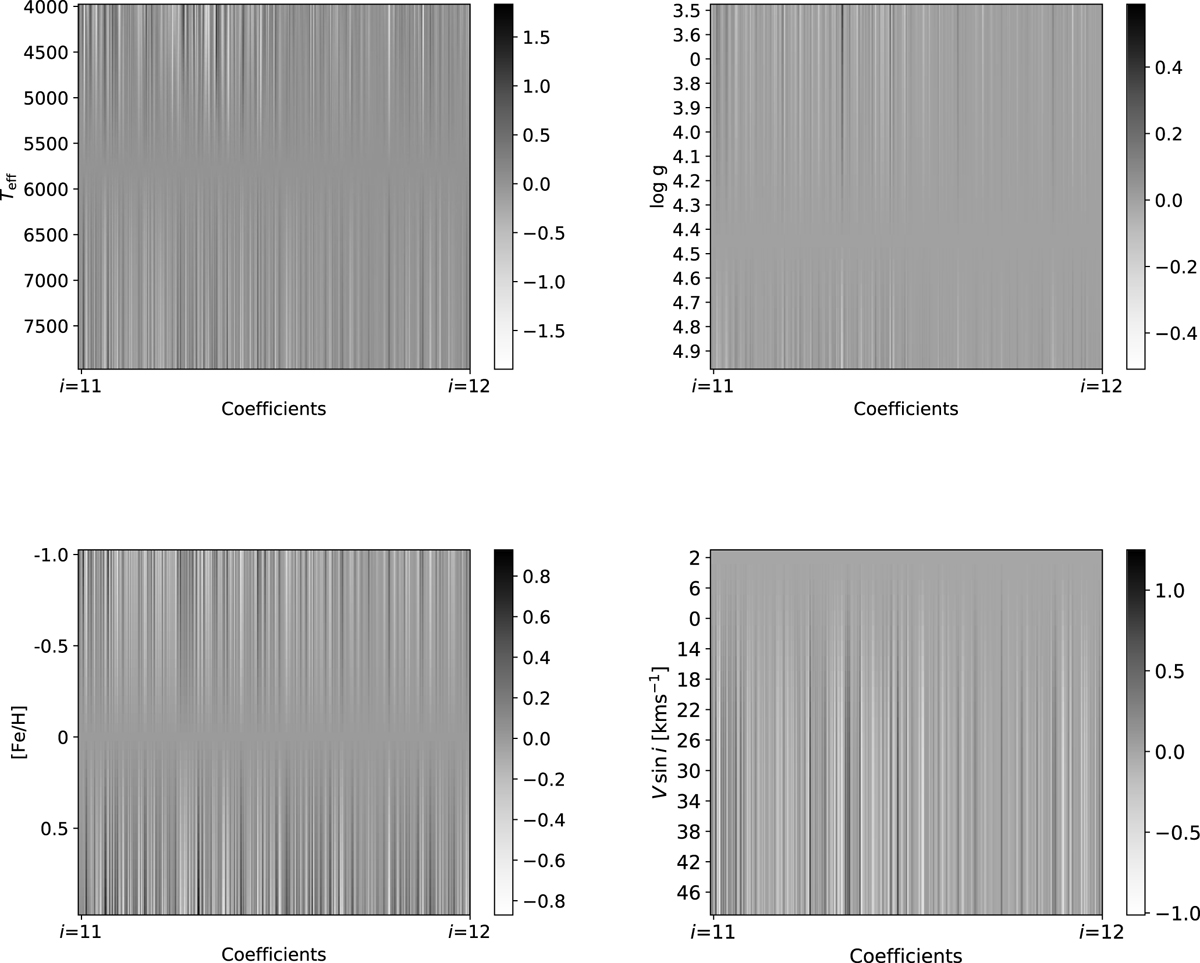
Fig. 3

image

Changes in wavelet coefficients in the range i = 11−12 for model spectra as a function of atmospheric parameters. The wavelet coefficient from a solar model has been subtracted to emphasise the subtle change in wavelet coefficients for each parameter. A similar result is seen for other values of i between 4 and 14. The colour-bar indicates the magnitude of the difference of coefficients. We note that these bars are not on the same scale and highlight the wavelet response to each coefficient.

Current usage metrics show cumulative count of Article Views (full-text article views including HTML views, PDF and ePub downloads, according to the available data) and Abstracts Views on Vision4Press platform.

Data correspond to usage on the plateform after 2015. The current usage metrics is available 48-96 hours after online publication and is updated daily on week days.

Initial download of the metrics may take a while.