Free Access

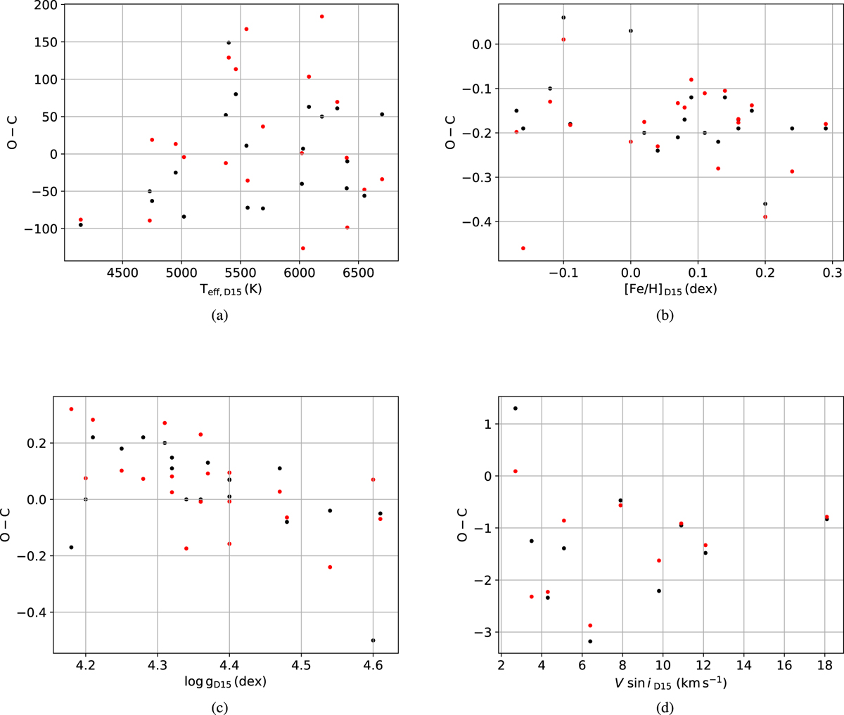
Fig. 8

image

Difference between wavelet analysis and D15 (O–C) for each atmospheric parameter in the D15 sample. Each spectrum was measured twice, once with log g as a free parameter (black) and again with log g priors imposed from transit photometry (red). We exclude measurements of V sin i where macroturbulence, ξt, was set to 0 km s−1 to ensure models a best model was converged upon.

Current usage metrics show cumulative count of Article Views (full-text article views including HTML views, PDF and ePub downloads, according to the available data) and Abstracts Views on Vision4Press platform.

Data correspond to usage on the plateform after 2015. The current usage metrics is available 48-96 hours after online publication and is updated daily on week days.

Initial download of the metrics may take a while.