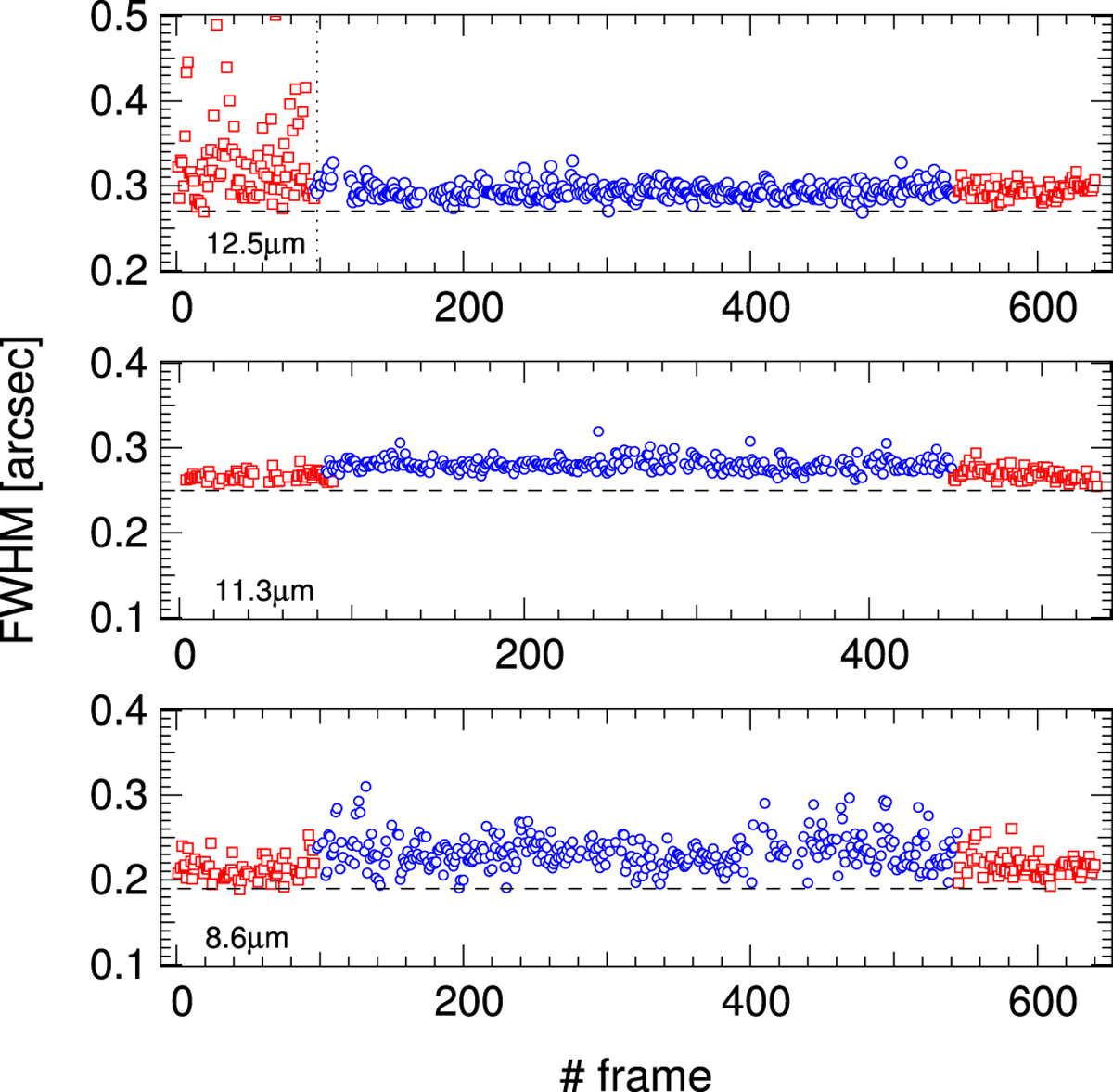
Fig. 2

Distribution as a function of time of the measured FWHM for the individual savesets. The blue open circles correspond to the science target HD 179218 and the red open squares correspond to the adjacent calibrators HD 169414 and HD 187642. The plots correspond, respectively from bottom to up, to the filters PAH-1, PAH-2 and Si-6. The integration time for the individual saveset for both the science and the calibrator is 2.1 s (PAH-1), 2.5 s (PAH-2) and 2.1 s (Si-6). The horizontal dashed lines show the theoretical diffraction limit of the GTC, which is 0.19′′ , 0.25′′ and 0.27′′ at respectively 8.6 μm, 11.3 μm and 12.5 μm, including the central obscuration. For the Si-6 filter, the vertical dotted line around frame #100 shows the effect of poor seeing on the measured FWHM distribution for the first calibrator.
Current usage metrics show cumulative count of Article Views (full-text article views including HTML views, PDF and ePub downloads, according to the available data) and Abstracts Views on Vision4Press platform.
Data correspond to usage on the plateform after 2015. The current usage metrics is available 48-96 hours after online publication and is updated daily on week days.
Initial download of the metrics may take a while.