Free Access

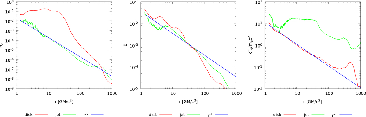
Fig. 4

image

Radial profiles of the dimensionless number density (left panel), the magnetic field strength (middle panel), and the dimensionless electron temperature (right panel) shown in Fig. 3. Here, the simulation data is additionally time- and shell-averaged. Green and red lines correspond to plasma in the jet-sheath and accretion disk, respectively. Left and middle panels: blue lines represent the analytical model from BK79. Right panel: blue line represents the virial temperature profile.

Current usage metrics show cumulative count of Article Views (full-text article views including HTML views, PDF and ePub downloads, according to the available data) and Abstracts Views on Vision4Press platform.

Data correspond to usage on the plateform after 2015. The current usage metrics is available 48-96 hours after online publication and is updated daily on week days.

Initial download of the metrics may take a while.