Free Access

Fig. A.4

image

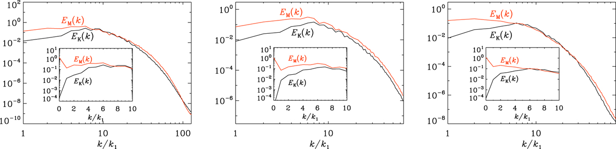
Typical power spectra of velocity (black lines) and magnetic field (red lines) from the middle of the convective layer for Code 1 (left), Code 2 (middle), and Code 3 (right). In each case, the inset shows the smallest wavenumbers to illustrate that the magnetic field peaks at k = 0. All spectra quantities are normalised by the average kinetic energy at zm during the non-linear phase.

Current usage metrics show cumulative count of Article Views (full-text article views including HTML views, PDF and ePub downloads, according to the available data) and Abstracts Views on Vision4Press platform.

Data correspond to usage on the plateform after 2015. The current usage metrics is available 48-96 hours after online publication and is updated daily on week days.

Initial download of the metrics may take a while.