Fig. 7

image

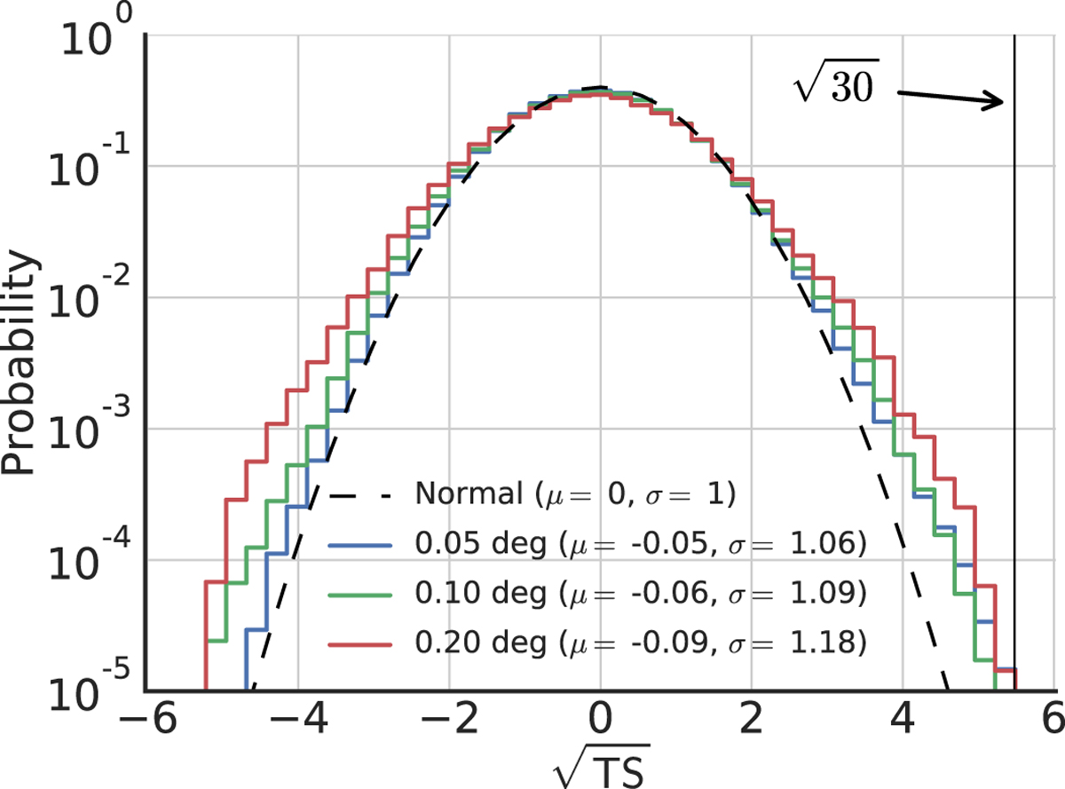
Residual significance distribution after taking the HGPS emission model into account (see Fig. 5, middle panel). The significance was computed using a Gaussian source morphology of size σ = 0.05°, 0.10°, and 0.20°. A vertical line at is shown, corresponding to the detection threshold for the HGPS multi-Gaussian modeling. The sky region corresponding to this distribution includes pixels inside exclusion regions, except for the Galactic center and shell-type SNRs, which were not modeled for the HGPS (see Table 1, lower panel of Fig. 5 and Fig. A.6).

Current usage metrics show cumulative count of Article Views (full-text article views including HTML views, PDF and ePub downloads, according to the available data) and Abstracts Views on Vision4Press platform.

Data correspond to usage on the plateform after 2015. The current usage metrics is available 48-96 hours after online publication and is updated daily on week days.

Initial download of the metrics may take a while.