Free Access

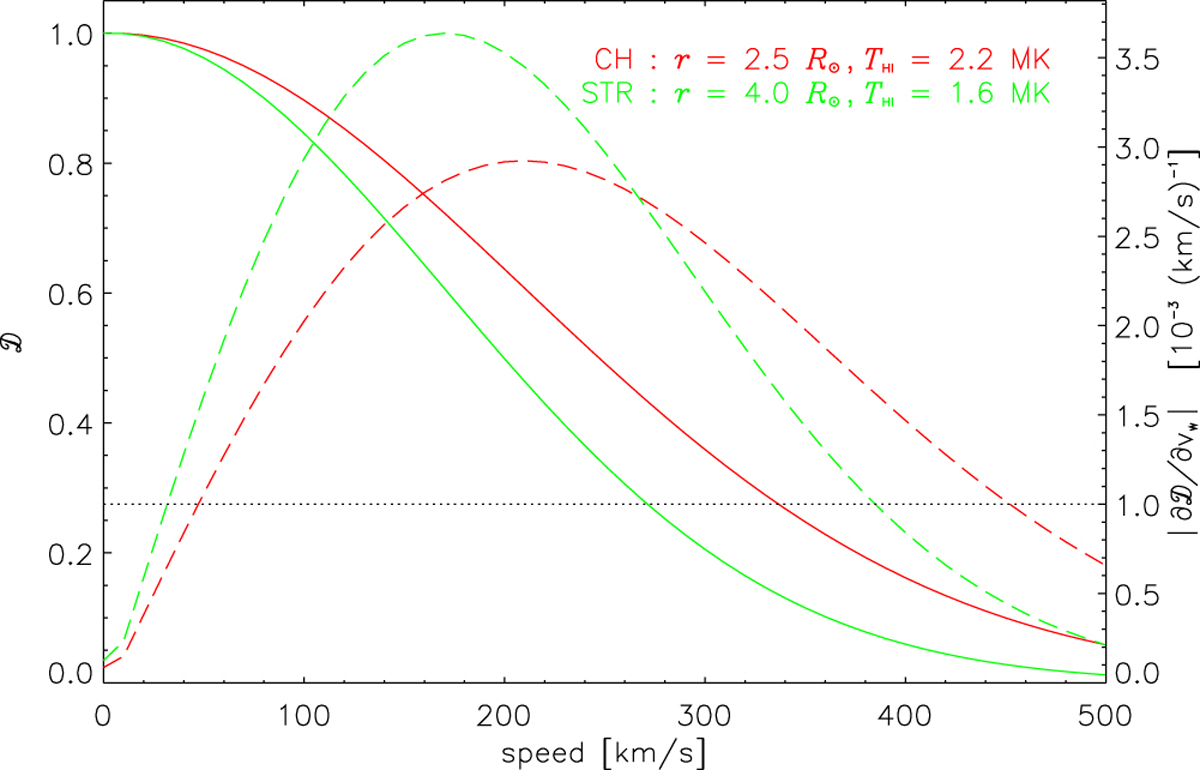
Fig. 1

image

Effective Doppler dimming coefficient of the resonantly scattered H I Lyα line (solid lines) and absolute value of its derivative with respect to the outflow speed (dashed lines), calculated at the heliocentric distance r = 2.5 R, on the plane of the sky of the observer, for a polar coronal hole (CH) with THI = 2.2 MK averaged along the LOS (red lines), and r = 4.0 R for an equatorial streamer (STR) with THI = 1.6 MK averaged along the LOS (green lines).

Current usage metrics show cumulative count of Article Views (full-text article views including HTML views, PDF and ePub downloads, according to the available data) and Abstracts Views on Vision4Press platform.

Data correspond to usage on the plateform after 2015. The current usage metrics is available 48-96 hours after online publication and is updated daily on week days.

Initial download of the metrics may take a while.