Free Access

Fig. 12

image

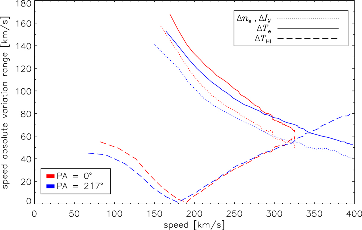
Profiles of speed absolute variation range as a function of the vref values at 0° (red) and 217° (blue) of polar angle in response to changing by a factor of ±30% the value of the parameters ne (dotted lines), (dotted lines), Te (solid lines), and THI (dashed lines).

Current usage metrics show cumulative count of Article Views (full-text article views including HTML views, PDF and ePub downloads, according to the available data) and Abstracts Views on Vision4Press platform.

Data correspond to usage on the plateform after 2015. The current usage metrics is available 48-96 hours after online publication and is updated daily on week days.

Initial download of the metrics may take a while.