Free Access

Fig. 2

image

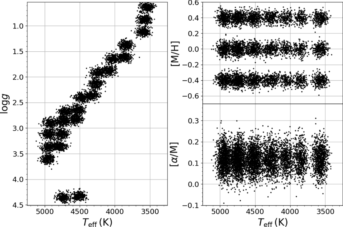
Atmospheric parameters for the synthetic data set. Left panel: effective temperature and surface gravity for the synthetic spectra. The right top panel presents the projection of the clusters in the Teff − [M∕H] plane, while the right bottom panel shows the plane Teff − [α∕M].

Current usage metrics show cumulative count of Article Views (full-text article views including HTML views, PDF and ePub downloads, according to the available data) and Abstracts Views on Vision4Press platform.

Data correspond to usage on the plateform after 2015. The current usage metrics is available 48-96 hours after online publication and is updated daily on week days.

Initial download of the metrics may take a while.