Free Access

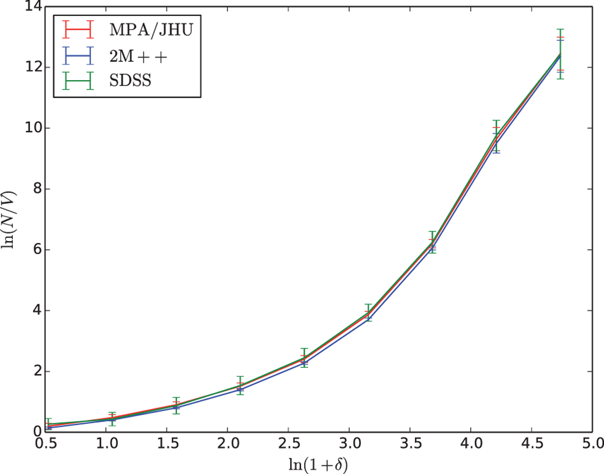
Fig. 3

image

Abundance of AGN and galaxies. The curves are rescaled inorder to compare the results for different catalogs. Galaxies and AGN show the same abundances which suggests that their halos have similar masses.

Current usage metrics show cumulative count of Article Views (full-text article views including HTML views, PDF and ePub downloads, according to the available data) and Abstracts Views on Vision4Press platform.

Data correspond to usage on the plateform after 2015. The current usage metrics is available 48-96 hours after online publication and is updated daily on week days.

Initial download of the metrics may take a while.