Fig. 2

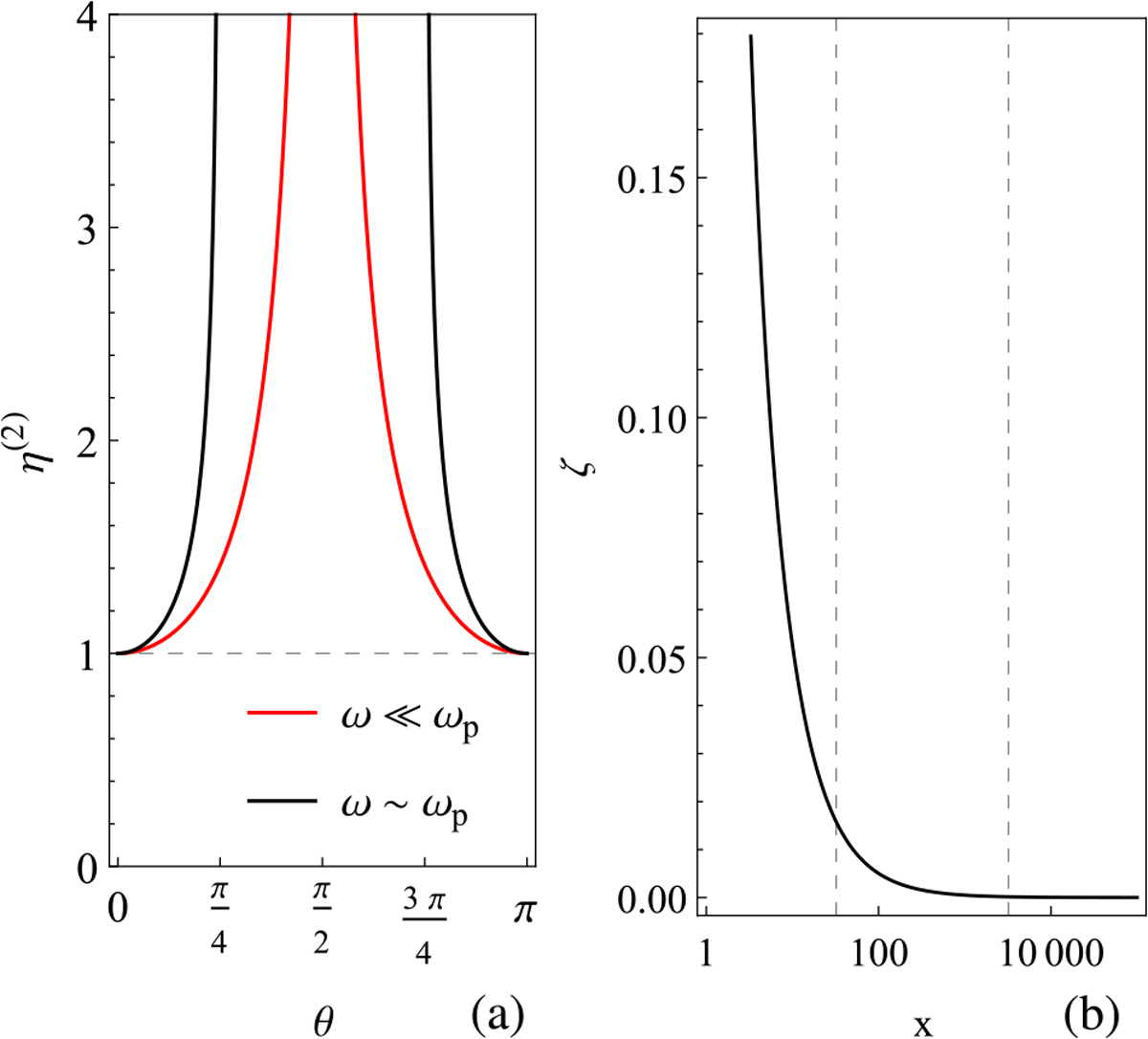
Panel a: dependence of η(2) on θ for the two regimes of low and high radio frequencies. The divergences will be smoothed by collisions and finite temperatures (our cold plasma treatment becomes invalid when the thermal speed of the particles exceed the phase speed c∕η(2) of thewaves, so corrections will always set in at some stage for a diverging η(2)) (Motz 1966). Panel b: dependence of ζ in the polarization vector (15) on x, plotted with
as given by Table 1. The locations of ω = 2π × 5 GHz and 2π × 0.5 GHz are marked out with vertical dashed lines.
Current usage metrics show cumulative count of Article Views (full-text article views including HTML views, PDF and ePub downloads, according to the available data) and Abstracts Views on Vision4Press platform.
Data correspond to usage on the plateform after 2015. The current usage metrics is available 48-96 hours after online publication and is updated daily on week days.
Initial download of the metrics may take a while.