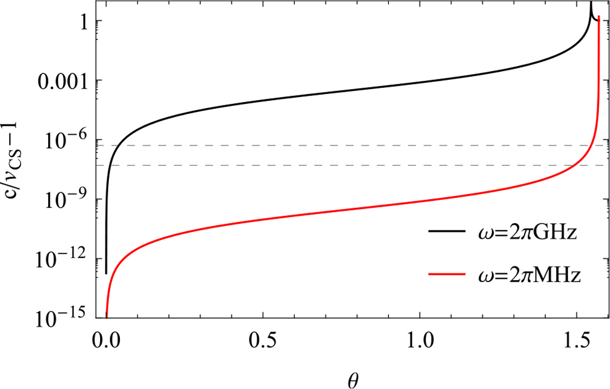
Fig. 3

Left hand side of Eq. (18) (minus 1) plotted as solid curves for the observational (non-angular) frequencies of 1 MHz and 1 GHz. The right hand side of the equation (minus 1) for vcs = 0.9999995c (upper) and vcs = 0.99999995c (lower) are plotted as the dashed horizontal lines, so the solutions to Eq. (18) are the intersection points between solid and dashed lines.
Current usage metrics show cumulative count of Article Views (full-text article views including HTML views, PDF and ePub downloads, according to the available data) and Abstracts Views on Vision4Press platform.
Data correspond to usage on the plateform after 2015. The current usage metrics is available 48-96 hours after online publication and is updated daily on week days.
Initial download of the metrics may take a while.