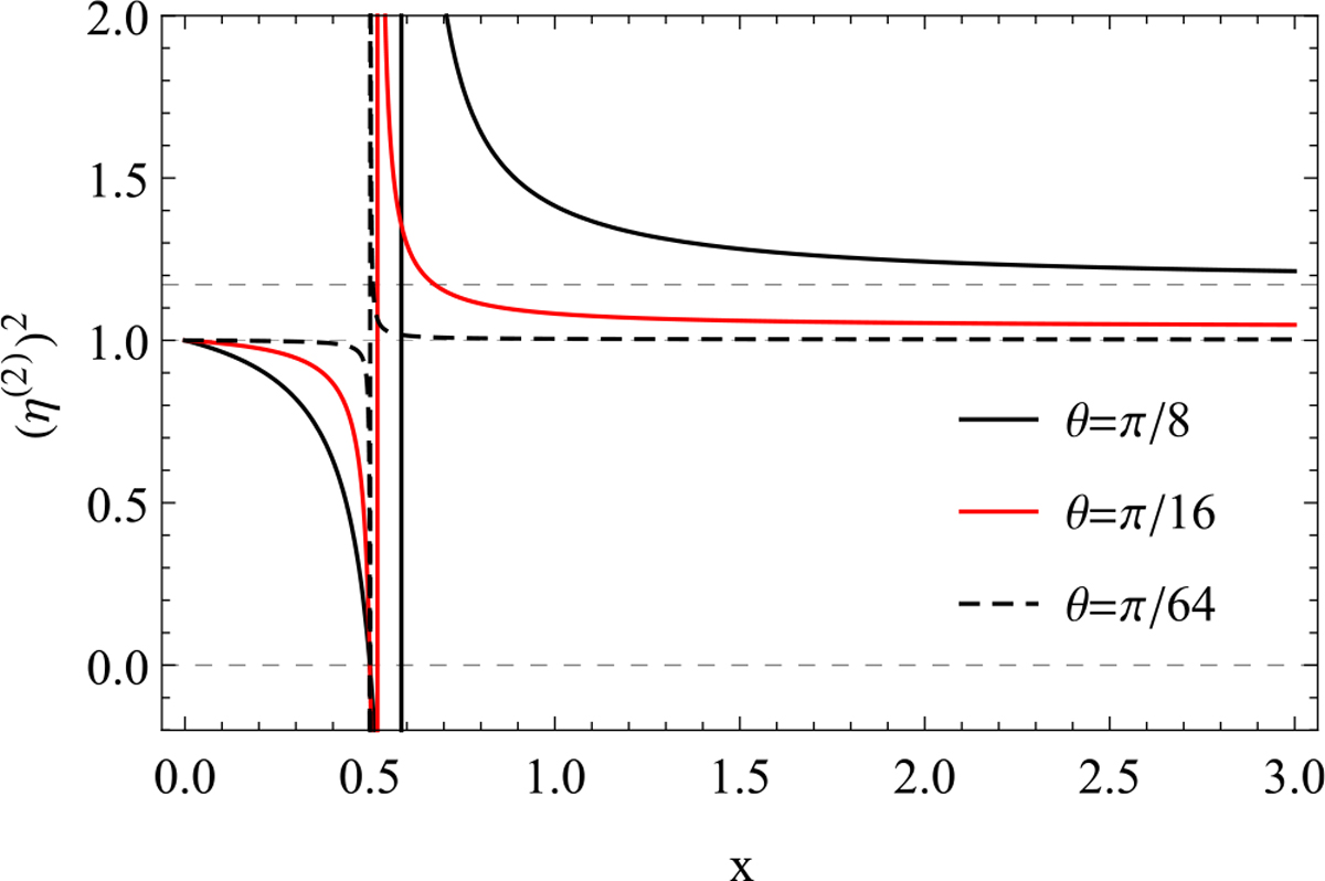
Fig. 4

Expression Eq. (14) (the plot for Eq. (19) is indistinguishable) as a function of x, plotted for fixed θ = π∕8, π∕16 and π∕64. The horizontal dashed lines are at , 1, and sec 2π∕8. When ω ≪ ωp or x ≫ 1,
asymptotes to sec2θ, while when ω ≫ ωp or x ≪ 1,
becomes unity regardless of the angle θ. Note Eq. (18) only needs to be satisfied at the emission site, and determines the central phase velocity direction, the same θ is then kept by the wave as it propagates. So as the wave rises in altitude, the refractive index that the wave experiences at new sites along its trajectory can be estimated by simply tracing along one of the curves in this figure to the left (ωp thus x drops with increasing altitude, as the plasma becomes more rarefied).
Current usage metrics show cumulative count of Article Views (full-text article views including HTML views, PDF and ePub downloads, according to the available data) and Abstracts Views on Vision4Press platform.
Data correspond to usage on the plateform after 2015. The current usage metrics is available 48-96 hours after online publication and is updated daily on week days.
Initial download of the metrics may take a while.