Free Access

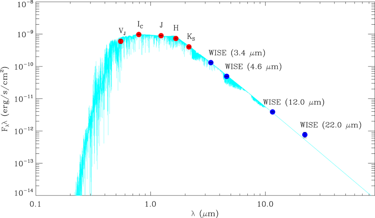
Fig. 3

image

Spectral energy distribution of K2-141. The BT-Settl-CIFIST model spectrum with the same parameters as the star is plotted with a light blue line. The V J, IC, J, H, Ks, W1, W2, W3, and W4 fluxes are derived from the magnitudes reported in Table 1.

Current usage metrics show cumulative count of Article Views (full-text article views including HTML views, PDF and ePub downloads, according to the available data) and Abstracts Views on Vision4Press platform.

Data correspond to usage on the plateform after 2015. The current usage metrics is available 48-96 hours after online publication and is updated daily on week days.

Initial download of the metrics may take a while.