Free Access

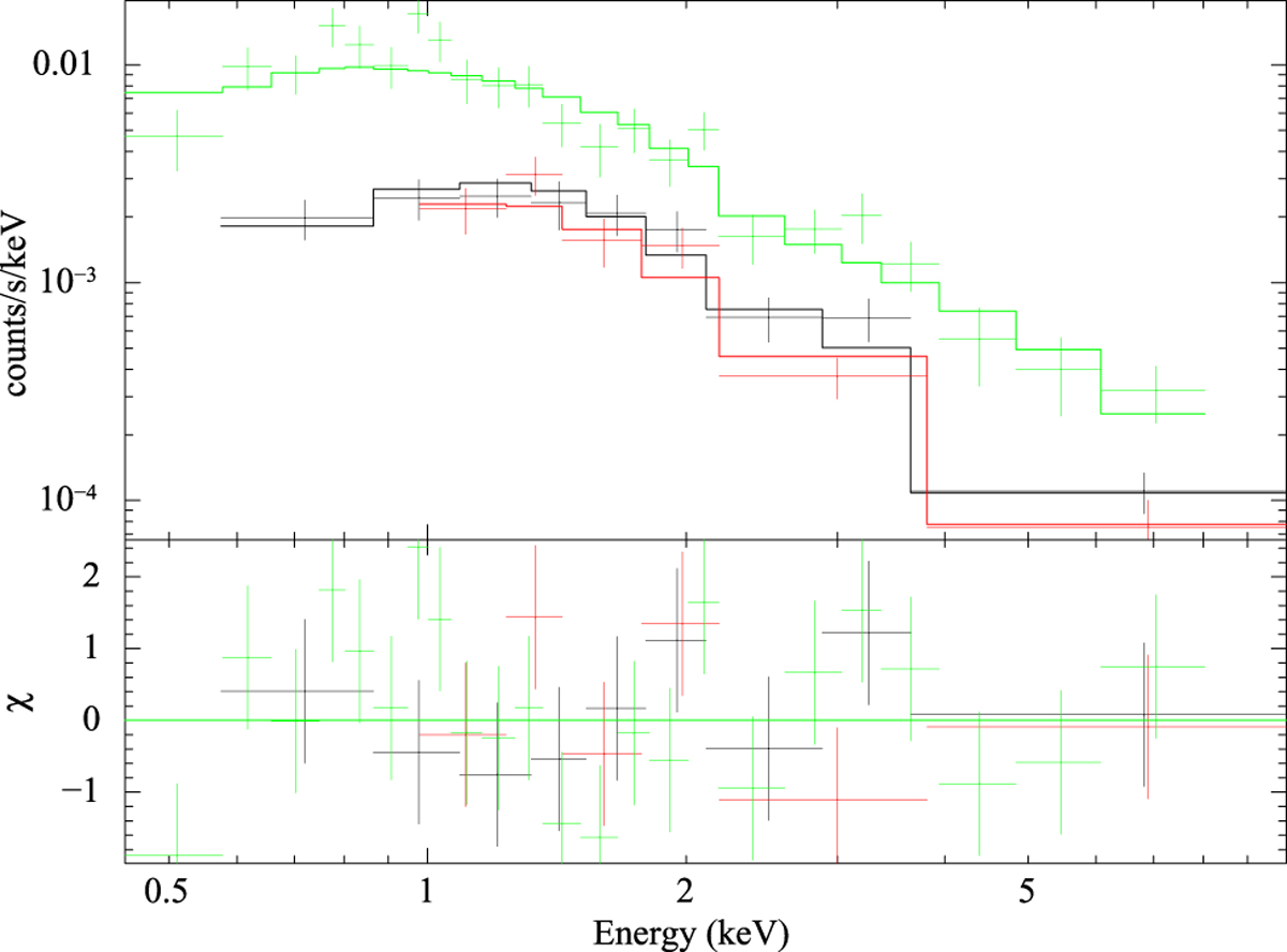
Fig. 2

image

Upper panel: simultaneous spectral fit of AX J0043−737 during XMM2 using spectra from all the XMM-Newton/EPIC cameras (PN in green, MOS1 in red and MOS2 in black) along with the best-fit model. Lower panel: residuals after the fit.

Current usage metrics show cumulative count of Article Views (full-text article views including HTML views, PDF and ePub downloads, according to the available data) and Abstracts Views on Vision4Press platform.

Data correspond to usage on the plateform after 2015. The current usage metrics is available 48-96 hours after online publication and is updated daily on week days.

Initial download of the metrics may take a while.