Free Access

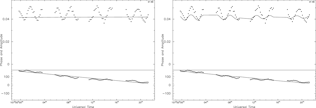
Fig. 8

image

Visibility amplitudes in Jy (top) and phases in degrees (bottom) versus time from the EVN experiment EL034A on the Effelsberg–WSRT baseline for IF 4. Measured data are shown as points, lines represent the visibility model. Left: the model contains one elliptical Gaussian component. Right: the model also contains an additional elliptical Gaussian component around the position of Complex A.

Current usage metrics show cumulative count of Article Views (full-text article views including HTML views, PDF and ePub downloads, according to the available data) and Abstracts Views on Vision4Press platform.

Data correspond to usage on the plateform after 2015. The current usage metrics is available 48-96 hours after online publication and is updated daily on week days.

Initial download of the metrics may take a while.