Free Access

Fig. 5

image

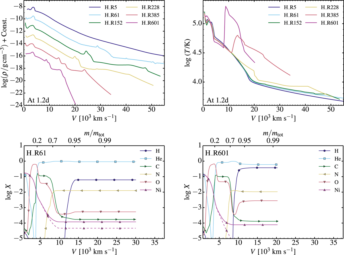
Top row: Comparison of the density and temperature profiles at 1.2 d for the H-rich models. The more massive and extended is the low-mass H-rich envelope, the greater is the outer ejecta temperature. Bottom row: Composition profiles for models H_R61 and H_R601 at 1.2ḋ (see also Fig. B.1). The dashed line corresponds to 56Ni. This time corresponds to the time of remapping into CMFGEN.

Current usage metrics show cumulative count of Article Views (full-text article views including HTML views, PDF and ePub downloads, according to the available data) and Abstracts Views on Vision4Press platform.

Data correspond to usage on the plateform after 2015. The current usage metrics is available 48-96 hours after online publication and is updated daily on week days.

Initial download of the metrics may take a while.