Free Access

Fig. 9

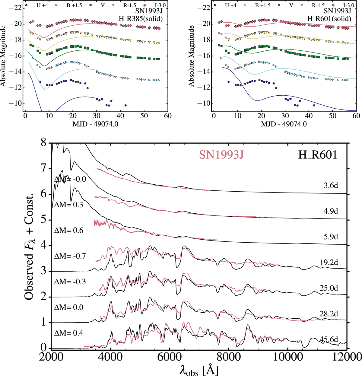
image

Comparison of the multi-band light curves of models H_R385 and H_R601 and of multi-epoch optical spectra of model H_R601 with the observations of SN 1993J (the photometry is from Richmond et al. (1996) and the spectra from Matheson et al. (2000)). In this figure, we either correct the model or the observations for distance, reddening, and redshift of SN 1993J (see Sect. 2 for details).

Current usage metrics show cumulative count of Article Views (full-text article views including HTML views, PDF and ePub downloads, according to the available data) and Abstracts Views on Vision4Press platform.

Data correspond to usage on the plateform after 2015. The current usage metrics is available 48-96 hours after online publication and is updated daily on week days.

Initial download of the metrics may take a while.