Free Access

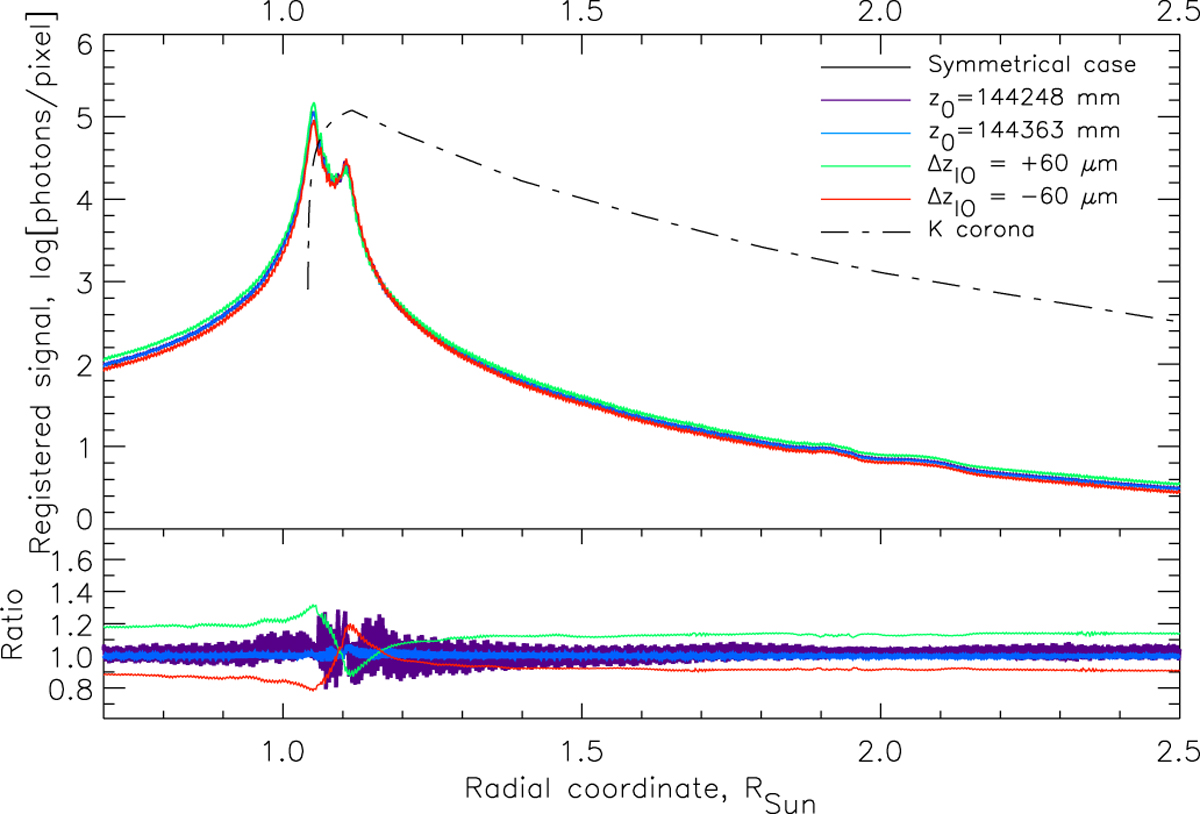
Fig. 11

image

Intensities of the diffracted light and corona for the case of the longitudinal displacement of the IO and change of z0. Top panel: radial profiles of the diffracted light (colored curves) and the K-corona (dash-dotted line) are shown. Bottom panel: ratiosof the displaced and symmetrical cases are shown.

Current usage metrics show cumulative count of Article Views (full-text article views including HTML views, PDF and ePub downloads, according to the available data) and Abstracts Views on Vision4Press platform.

Data correspond to usage on the plateform after 2015. The current usage metrics is available 48-96 hours after online publication and is updated daily on week days.

Initial download of the metrics may take a while.