Free Access

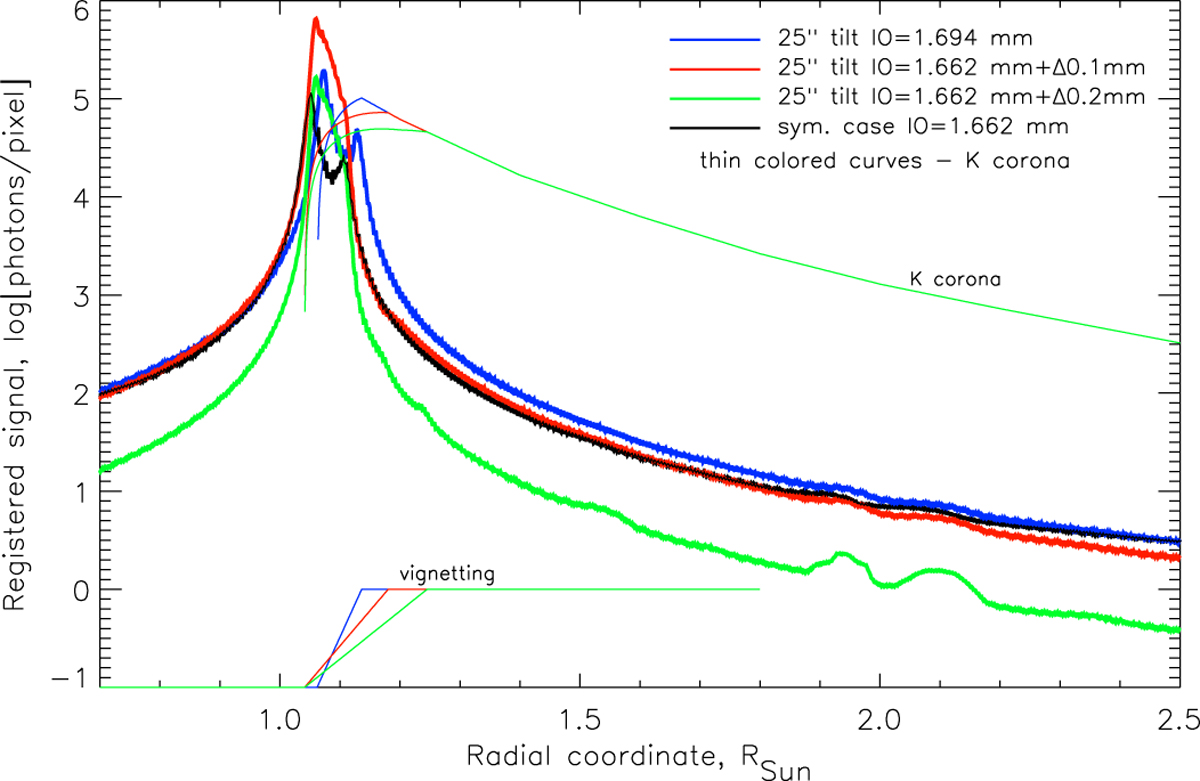
Fig. 14

image

Comparison of IOs with various apodization for the same tilt of 25 arcsec. The blue curve corresponds to sharp-edge IO with RIO = 1.694 mm, the red curve indicates the IO with RIO = 1.662 mm opaque part and Δ = 0.1 mm gradient, and the green curve indicates the Δ = 0.2 mm gradient. The thin colored lines denote coronal signal with corresponding vignetting taken into account and vignetting functions (in the bottom part of the plot).

Current usage metrics show cumulative count of Article Views (full-text article views including HTML views, PDF and ePub downloads, according to the available data) and Abstracts Views on Vision4Press platform.

Data correspond to usage on the plateform after 2015. The current usage metrics is available 48-96 hours after online publication and is updated daily on week days.

Initial download of the metrics may take a while.