Free Access

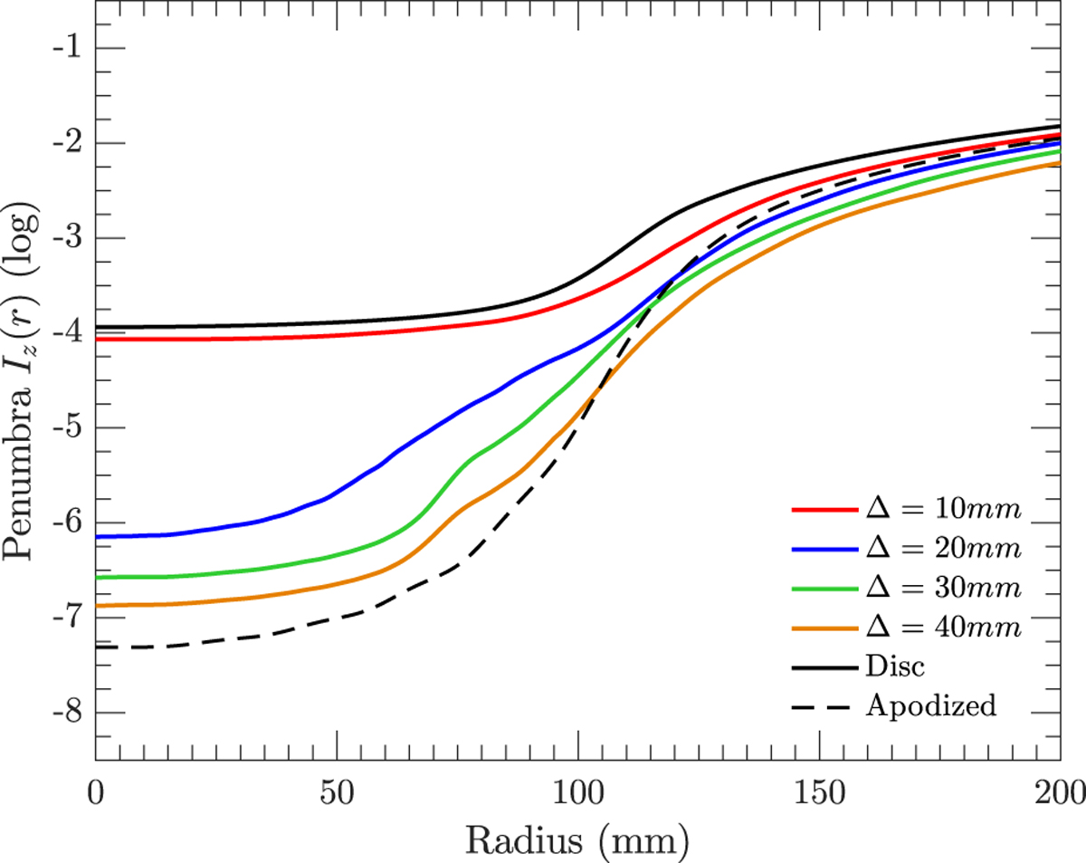
Fig. 10

image

Penumbra profile Iz(r) for several serrated occulters Nt = 464 teeth in logarithmic scale in the range r ≤ 200 mm. Red shows Δ  =  10 mm. Blue represents Δ = 20 mm. Green plots Δ = 30 mm. Yellow depicts Δ = 40 mm. Black showsthe sharp-edged disk. The black dashed line shows the apodized disk.

Current usage metrics show cumulative count of Article Views (full-text article views including HTML views, PDF and ePub downloads, according to the available data) and Abstracts Views on Vision4Press platform.

Data correspond to usage on the plateform after 2015. The current usage metrics is available 48-96 hours after online publication and is updated daily on week days.

Initial download of the metrics may take a while.