Free Access

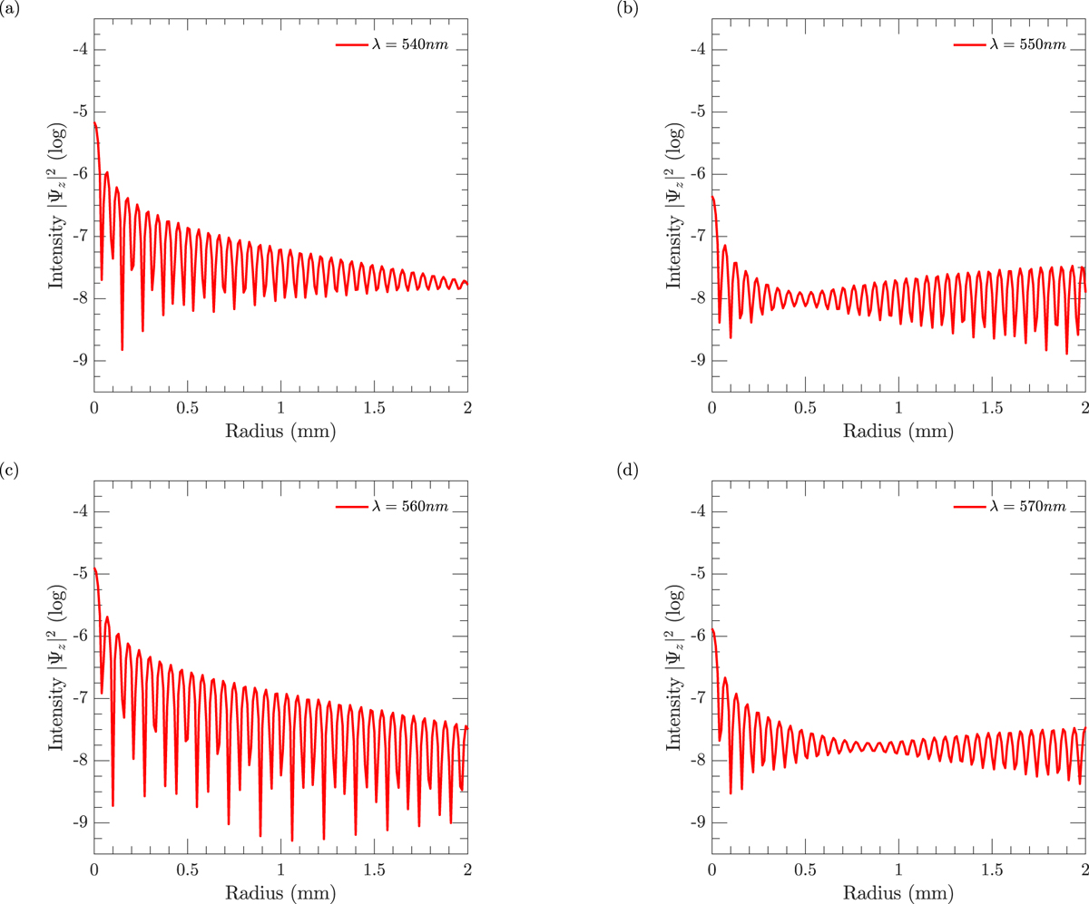
Fig. C.1

image

Horizontal cuts near the center of the diffraction intensity |Ψz(x, y)|2 in logarithmic scale. The occulter is made of Nt  =  128 teeth of Δ = 20 mm. Panel a: λ = 540 nm. Panel b: λ = 550 nm. Panel c: λ = 560 nm. Panel d: λ = 570 nm.

Current usage metrics show cumulative count of Article Views (full-text article views including HTML views, PDF and ePub downloads, according to the available data) and Abstracts Views on Vision4Press platform.

Data correspond to usage on the plateform after 2015. The current usage metrics is available 48-96 hours after online publication and is updated daily on week days.

Initial download of the metrics may take a while.