Free Access

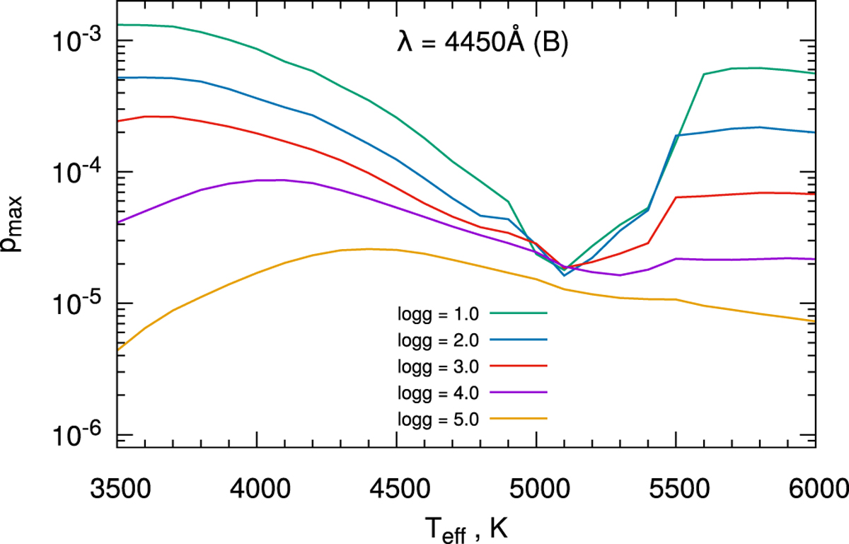
Fig. 5

image

Maximum polarization degree per rotation period for model stars with a spherical atmosphere, simulated for 30% spot coverage and a lognormal spot size distribution with a square-root scaling of the average spot area.

Current usage metrics show cumulative count of Article Views (full-text article views including HTML views, PDF and ePub downloads, according to the available data) and Abstracts Views on Vision4Press platform.

Data correspond to usage on the plateform after 2015. The current usage metrics is available 48-96 hours after online publication and is updated daily on week days.

Initial download of the metrics may take a while.