Free Access

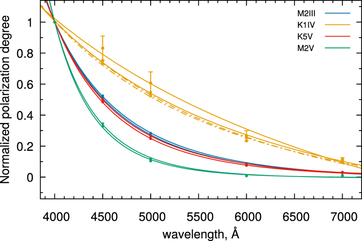
Fig. 7

image

Average polarization degree per rotation period at different wavelengths, normalized to λ = 4000. For each stellar model the overlying curves are the power-law best fit obtained for 10% total spot coverage, while the underlying curves are for 50% coverage. For K1IV, the results for two different size distributions are shown (see text).

Current usage metrics show cumulative count of Article Views (full-text article views including HTML views, PDF and ePub downloads, according to the available data) and Abstracts Views on Vision4Press platform.

Data correspond to usage on the plateform after 2015. The current usage metrics is available 48-96 hours after online publication and is updated daily on week days.

Initial download of the metrics may take a while.