Free Access

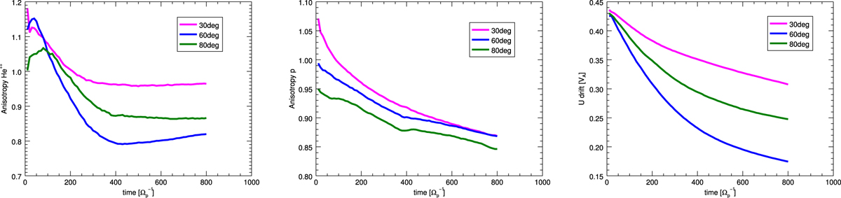
Fig. 12

image

Evolution of the temperature anisotropy associated with obliquely propagating waves at various angles θ ≤ 30°, 60° and 80°. Alpha particles are shown in the left panel and proton temperature anisotropies are drawn in the middle one. The right panel describes the evolution of the relative drift speed between the two ion species for the three propagation cases.

Current usage metrics show cumulative count of Article Views (full-text article views including HTML views, PDF and ePub downloads, according to the available data) and Abstracts Views on Vision4Press platform.

Data correspond to usage on the plateform after 2015. The current usage metrics is available 48-96 hours after online publication and is updated daily on week days.

Initial download of the metrics may take a while.