Free Access

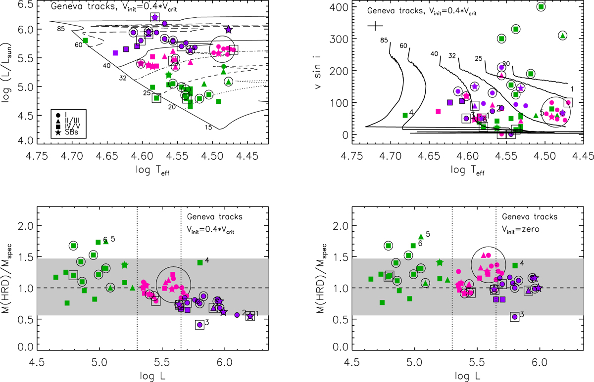
Fig. 13

image

Upper panels: classical HRD (left) and the v sin i distribution as a functionof log Teff (right) for the sample stars plotted against the current Geneva grids. The observed v sin i values account for the effects of macroturbulence; the model Vrot was scaled by π/4 to account for (average) projection. Lower panels: ratio of evolutionary and spectroscopic mass as a function of log LL, after using the rotating and non-rotating Geneva tracks to calculate Mevol(HRD). The shaded area corresponds to the typical 1σ uncertainty in the individual mass ratios centred at unity. Vertical dashed lines indicate the luminosity bins as discussed in Sect. 6.1. Numbers from 1 to 6 denote the outliers as discussed in Sect. 6.1 and Appendix B. Symbols and colour coding as in Fig. 12.

Current usage metrics show cumulative count of Article Views (full-text article views including HTML views, PDF and ePub downloads, according to the available data) and Abstracts Views on Vision4Press platform.

Data correspond to usage on the plateform after 2015. The current usage metrics is available 48-96 hours after online publication and is updated daily on week days.

Initial download of the metrics may take a while.