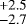
Table A.1
Current evolutionary masses for the sample stars, derived from the classical (M1) and the spectroscopic (M2) HRDs.
| Object | ST | Bonn tracks | Geneva tracks | Notes | ||
|---|---|---|---|---|---|---|
| M1 | M2 | M1 | M2 | |||
| HD 64568a | O3 V | 68.2 |
82 ± 20.5 | 68.0 |
74.8 |
|
| HD 46223 | O4 V | 47.0 |
51.8 |
47.3 |
46.5 |
|
| HD 93843a | O5 III | 58.8 |
52.8 |
43.6 |
38.9 |
SB1? |
| CD−47 4551 | O5 If | 88 (ul) | 53.4 |
66.2 |
34.2 |
SB2 |
| HD 93204a | O5.5 V | 48.0 |
41.4 |
39.3 |
38.5 |
|
| CPD−59 2600a | O6 V | 36.7 |
35.4 |
36.1 |
35.0 |
SB1 |
| HD 91572a | O6.5 V | 34.0 |
34.6 |
32.8 |
32.8 |
SB1 |
| HD 63005a | O6.5 IV | 38.9 |
42.2 |
34.2 |
34.2 |
|
| HD 91824a | O7 V | 35.1 |
36.1 |
33.9 |
34.2 |
SB1 |
| CPD−58 2620a | O7 V | 28.1 |
32.9 |
27.7 |
31.8 |
|
| HD 93222 | O7 V | 33.8 |
33.2 |
32.2 |
31.5 |
|
| HD 94963a | O7 II | 35.5 |
49.4 |
30.8 |
32.4 |
SB2? |
| HD 94963b | 41.0 |
49.5 |
32.2 |
32.4 |
||
| HD 94370a | O7 | 32.4 |
33.9 |
29.9 |
29.8 |
SB2? |
| HD 94370b | 36.2 |
34.1 |
31.0 |
29.9 |
||
| HD 151804 | O8 Iaf | 56.9 |
52.0 |
38.1 |
31.0 |
SB2 |
| HD 92504 | O8.5 V | 24.0 |
26.0 |
23.9 |
25.2 |
|
| HD 75211 | O8.5 II | 37.3 |
38.0 |
31.8 |
29.1 |
SB1 |
| HD 152249 | OC9 Iab | 36.8 |
51.5 |
29.5 |
30.9 |
|
| HD 46202 | O9.2 V | 22.0 |
21.9 |
21.8 |
21.6 |
|
| CD−44 4865 | O9.7 III | 26.9 |
28.3 |
24.5 |
24.6 |
|
| HD 152003 | O9.7 Iab | 39.6 |
49.9 |
30.8 |
30.8 |
|
| HD 75222 | O9.7 Iab | 35.4 |
47.4 |
28.6 |
29.5 |
SB? |
| HD 75222a | 39.8 |
47.4 |
30.8 |
29.5 |
||
| HD 78344 | O9.7 Iab | 39.8 |
46.7 |
30.8 |
29.4 |
|
| HD 169582 | O6 Iaf | 82 (ul) | 58.6 |
48.7 |
40.2 |
|
| CD−43 4690 | O6.5 III | 39.9 |
45.3 |
32.1 |
32.4 |
|
| HD 97848 | O8 V | 26.5 |
28.9 |
25.8 |
28.0 |
|
| HD 69464 | O7 Ib | 48.4 |
49.7 |
36.8 |
32.4 |
|
| HD 302505 | O8.5 III | 33.2 |
33.6 |
28.7 |
27.8 |
|
| HD 148546 | O9 Iab | 41.4 |
47.5 |
31.1 |
29.8 |
|
| HD 76968a | O9.2 Ib | 36.2 |
43.1 |
29.2 |
30.2 |
SB1 |
| HD 69106 | O9.7 II | 22.0 |
22.4 |
21.8 |
21.8 |
|
Notes. Cluster and association members are listed in the upper part, field stars in the lower part. Errors shown in italics are not derived but adopted values. “ul” means upper limit. For more information, see Sect. 5.2.
Current usage metrics show cumulative count of Article Views (full-text article views including HTML views, PDF and ePub downloads, according to the available data) and Abstracts Views on Vision4Press platform.
Data correspond to usage on the plateform after 2015. The current usage metrics is available 48-96 hours after online publication and is updated daily on week days.
Initial download of the metrics may take a while.