Free Access

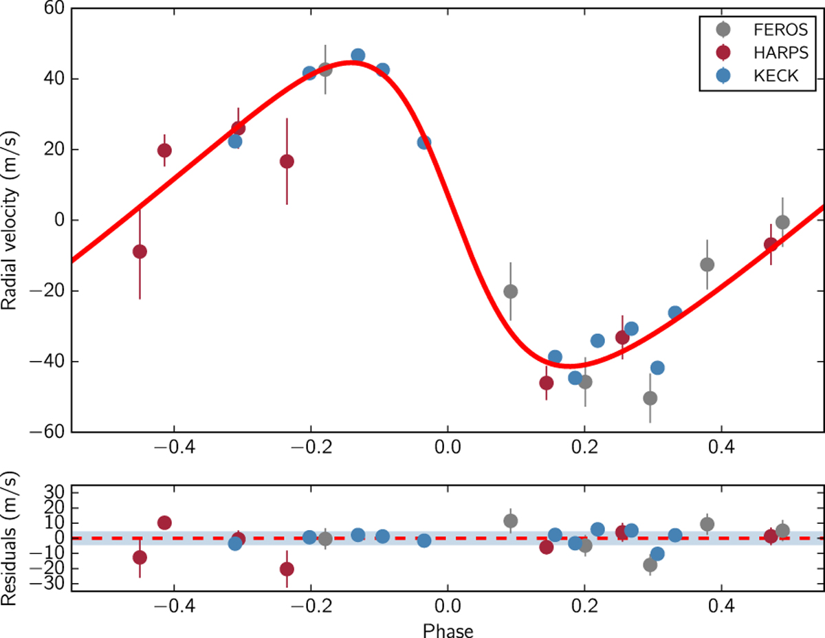
Fig. 2

image

Top panel: Phased-folded radial velocities of K2-132 obtained with HARPS (red dots), FEROS (gray dots), and Keck/HIRES (blue dots). The red line corresponds to the Keplerian model using the posterior parameters of the MCMC analysis of Sect. 3.5. Bottom panel: Residuals for the observed radial velocities. The small blue band around zero has a width equal to the fitted jitter term of 5.1 m s−1.

Current usage metrics show cumulative count of Article Views (full-text article views including HTML views, PDF and ePub downloads, according to the available data) and Abstracts Views on Vision4Press platform.

Data correspond to usage on the plateform after 2015. The current usage metrics is available 48-96 hours after online publication and is updated daily on week days.

Initial download of the metrics may take a while.