Free Access

Fig. 5

image

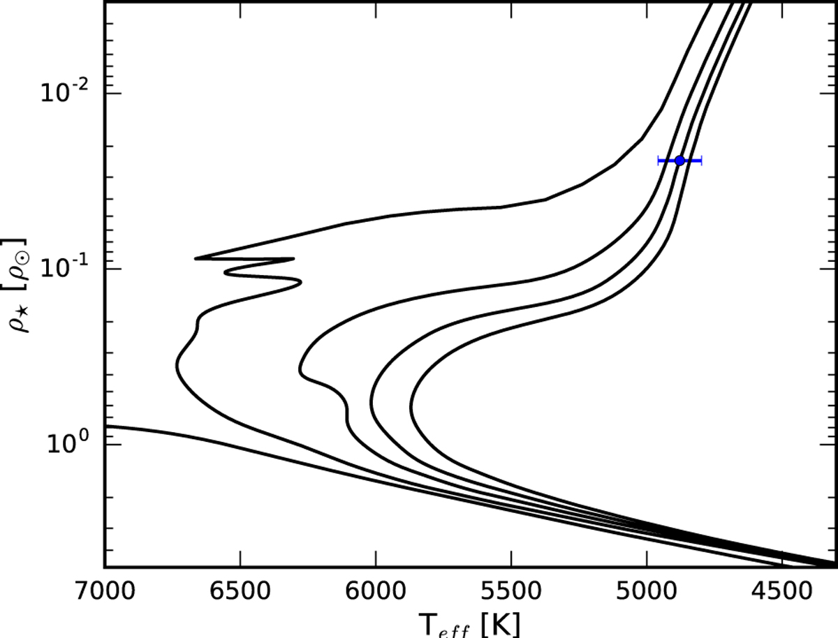
Stellar density as a function of the stellar Teff for the Yonsei-Yale isochrones. From left to right the plotted isochrones correspond to ages of 0.1, 2, 4, 6, 8 Gyr. The blue dot corresponds to the assumed parameters of the host star.

Current usage metrics show cumulative count of Article Views (full-text article views including HTML views, PDF and ePub downloads, according to the available data) and Abstracts Views on Vision4Press platform.

Data correspond to usage on the plateform after 2015. The current usage metrics is available 48-96 hours after online publication and is updated daily on week days.

Initial download of the metrics may take a while.