Free Access

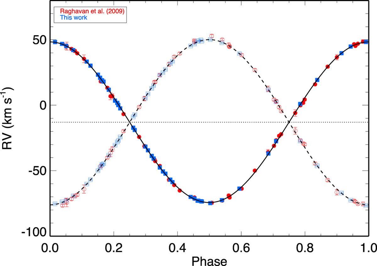
Fig. 1

image

Radial velocity of σ2 CrB as a functionof the orbital phase, calculated using . The least-squares fit for the primary is shown with the solid line and for the secondary with the dashed line. The red circles are observations by Raghavan et al. (2009) and the blue squares are our new radial velocity measurements. The filled symbols represent the primary and the open symbols correspond to the secondary.

Current usage metrics show cumulative count of Article Views (full-text article views including HTML views, PDF and ePub downloads, according to the available data) and Abstracts Views on Vision4Press platform.

Data correspond to usage on the plateform after 2015. The current usage metrics is available 48-96 hours after online publication and is updated daily on week days.

Initial download of the metrics may take a while.