Free Access

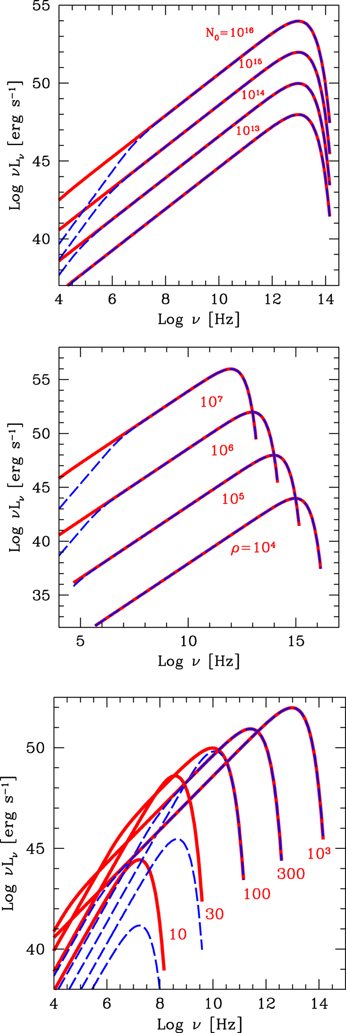
Fig. 1

image

Examples of SED produced by a monoenergetic particle distribution for changing input parameters. The reference values of the parameters are a = 1, ρ = 106 cm, N0 = 1015 cm−3, γmax = 103. The solid lines indicate SED produced by protons; the dashed line indicates SED produced by leptons. Top panel: the changing density N0 of the particles distribution is shown. Middle panel: the changing ρ is indicated. Bottom panel: the changing maximum electron energy γmax is shown.

Current usage metrics show cumulative count of Article Views (full-text article views including HTML views, PDF and ePub downloads, according to the available data) and Abstracts Views on Vision4Press platform.

Data correspond to usage on the plateform after 2015. The current usage metrics is available 48-96 hours after online publication and is updated daily on week days.

Initial download of the metrics may take a while.