Free Access

Fig. 12

image

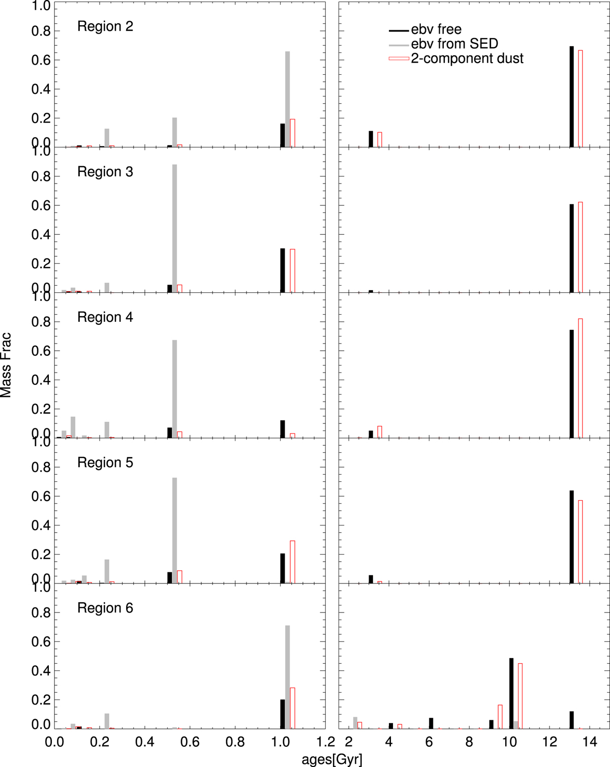
Stellar populations of each region derived from pPXF, normalized to the total mass of each region, as a function of stellar ages. The black histograms show the results from pPXF fitting with as a free parameter. The gray histograms are derived from pPXF fitting of the spectra using the from the SED fitting. The red open histograms show the results given by using the two-component dust model.

Current usage metrics show cumulative count of Article Views (full-text article views including HTML views, PDF and ePub downloads, according to the available data) and Abstracts Views on Vision4Press platform.

Data correspond to usage on the plateform after 2015. The current usage metrics is available 48-96 hours after online publication and is updated daily on week days.

Initial download of the metrics may take a while.